COMSOL电化学耦合案例天花板!

电化学-热耦合

COMSOL电化学耦合案例天花板!的图1
COMSOL电化学耦合案例天花板!的图2
COMSOL电化学耦合案例天花板!的图3

COMSOL电化学耦合案例天花板!的图4

本文主要介绍如何利用COMSOL Multiphysics 电化学-热耦合模型对电动汽车动力电池的内部温度进行数值模拟。

COMSOL电化学耦合案例天花板!的图5
COMSOL电化学耦合案例天花板!的图6
COMSOL电化学耦合案例天花板!的图7

·

LiFePO4电池结构可简化为阳极极耳、含电解液的阳极集流体、阳极膜片、隔离膜、含电解液的阴极集流体和阴极极耳。电极隔膜和分离器由阳极膜片、阴极膜片和隔离膜组成。隔离膜中的聚合物骨架不导电子,电化学反应只发生在固体活性物颗粒与电解液交界面处,其反应方程式为:

阳极LixC6↔ Li0C6xLi+xe-

阴极LixFe POC4xLi+xe-↔ Fi0PO4

1、电化学模型

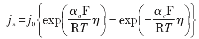
基于 Newman 的多孔性电极理论的电化学模型,其中描述正负电极颗粒表面电化学反应过程的Buter-Volmer方程为:

COMSOL电化学耦合案例天花板!的图8

j0为交换电流密度,单位为 A·cm-2;η 是局部过电位,单位为 V;αc和 αa是正负电极电化学反应转移系数,取 0.5;F 为法拉第常数,数值为96485 C·mol-1;R 为理想气体常数,数值为 8.314 J·mol-1· K-1

交换电流密度表达式为:

COMSOL电化学耦合案例天花板!的图9

k0为反应速率常数;cs,max为材料最大固相锂离子浓度;cs,surf为电极和电解液界面处锂离子浓度。局部过电位表达式为:

COMSOL电化学耦合案例天花板!的图10

ϕs为固相电势;ϕ1为液相电势;Eeq为材料的平衡电位。

固相欧姆定律和液相欧姆定律分别为:

COMSOL电化学耦合案例天花板!的图11

is和 i1分别代表固相电子电流和液相离子电流;σseff和 σ1eff分别代表固相和液相电势;t+迁移数。

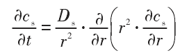
锂离子在固相中的质量守恒方程用菲克第二定律描述为:

COMSOL电化学耦合案例天花板!的图12

cs代表固相锂离子浓度;Ds为锂离子的固相扩散系数;r 为球形颗粒的半径。

锂离子在液相中的质量守恒方程用浓溶液理论描述为:

COMSOL电化学耦合案例天花板!的图13

ε1为电极和隔膜中液相体积分数;D1eff为电解液中的等效扩散系数,用布拉格曼系数修正。

2、热模型

锂离子电池的热模型的能量守恒方程为:

COMSOL电化学耦合案例天花板!的图14

从左至右依次为热积累、热传导和热产生项。其中,电池电芯区域的产热量主要包括可逆热、极化热与欧姆热,依次为:

COMSOL电化学耦合案例天花板!的图15

此外,极耳区域还存在由极耳的电阻所引起的欧姆热,计算式为:

COMSOL电化学耦合案例天花板!的图16

Itab为通过极耳处的电流;Atab为极耳的横截面积,这里取极耳宽50 mm、厚0.3 mm;σtab为极耳自身材料的电导率,假定正极耳为铝材料,负极耳为铜材料,电导率值参见表1电池电化学模型参数。经过计算,求得正极耳的产热率为 2.05×105W/m3负极耳的产热率为 1.29×106W/m3

COMSOL电化学耦合案例天花板!的图17

·

COMSOL电化学耦合案例天花板!的图18

1、模型参数辨识

对模型中的主要参数进行辨识。其中,对于导热系数采取通用的热阻串并联的方法估算为:

法向导热系数

COMSOL电化学耦合案例天花板!的图19

展向导热系数

COMSOL电化学耦合案例天花板!的图20

Li为电芯单元中各部件的长度;Ki为各材料的导热系数。

比热容计算为:

COMSOL电化学耦合案例天花板!的图21

根据表 1 中的具体数值,经过计算得到法向导热系数为 18.5 W·m-1·K-1,展向导热系数为1.2 W·m-1·K-1,比热容为1358 J·kg-1·K-1

表1 电池电化学模型参数

COMSOL电化学耦合案例天花板!的图22

2、网格无关性验证

对模型进行了网格无关性验证,消除网格数量对计算结果的影响。如图 1 所示为放电电压曲线,如图 2 所示为电池表面温度曲线。根据图 1、图 2,得出网格单元数为 44689、63479、75895 和108522,计算结果基本一致。综合考虑计算量和准确性,选择网格单元数为 75895 的网格进行后续计算。

COMSOL电化学耦合案例天花板!的图23

图1 网格无关性

(放电电压曲线)

COMSOL电化学耦合案例天花板!的图24

 图2 网格无关性

(电池表面温度曲线)

3、模型结果验证

COMSOL电化学耦合案例天花板!的图25

图3 电化学热耦合模型

如 图 3 所 示 为 磷 酸 铁 锂 电 池 一 维 模 型 。图 3 从左至右依次为负极集流体、负极膜片、隔离膜、正极膜片和正集流体;其厚度分别为9 μm、59 μm、20 μm、9 μm 和 16 μm。

COMSOL电化学耦合案例天花板!的图26

图4 模型模拟的电池温度与文献结果的对比

图 4(a)1D 模型在放电中后期温度数据有较大偏差,这是由于 1D 模型假设内部温度一致且不考虑极耳对电芯的热效应而导致的。其中,3C 倍率偏差最大,最大平均偏差、绝对值平均偏差和均方根偏差分别为 7.4%、10.9%和14.3%。三者计算公式分别为

COMSOL电化学耦合案例天花板!的图27

图4(b)所示3D模型仿真数据与实验接近,其3C 倍率下最大平均偏差、绝对值平均偏差和均方根偏差分别为 3.8%、4.5%和 7.8%。因此,3D 模型可反应电池内部温度分布,提供温升曲线。

本文来自:COMSOL仿真交流

COMSOL电化学耦合案例天花板!的图28

v

登录后免费查看全文
立即登录
App下载
技术邻APP
工程师必备
  • 项目客服
  • 培训客服
  • 平台客服

TOP

5
7