【FLAC系列】使用fish实现状态相关摩尔本构库伦
2023年3月14日 14:50导读
传统的摩尔库伦模型以其实用性在工程得到了广泛的应用。但由于其模型较为简单,在数值模拟中会出现一些与工程实际相悖的物理现象。而状态相关摩尔库伦是众多修正摩尔库伦模型的一种,能够模拟出摩擦角和剪胀角参数随着状态参数(孔隙比与临界孔隙比差值)的变化而变化的现象。
本文将基于“Gao L, Guo N, Yang Z X, et al. MPM modeling of pile installation in sand: Contact improvement and quantitative analysis[J]. Computers and Geotechnics, 2022, 151: 104943.”文章中使用的状态相关摩尔库伦本构模型,仅用Fish函数实现其二次开发。
本文包括以下内容:1、介绍状态相关摩尔库伦(MC);2、状态相关摩尔库伦的关键方程组;3、枫丹白露砂的状态相关摩尔库伦的标定;4、基于fish嵌入FLAC的上述状态相关MC开发。
1、状态相关摩尔库伦简介
状态相关MC采纳了临界状态的概念,认为砂土受剪切达到临界状态时,处于一种“流动状态”,即剪胀角为0。而我们知道,常规的MC模型拥有一个固定的剪胀角。另外一个方面在于,密砂实际上拥有峰值强度(对应峰值摩擦角)和残余强度(对应于残余摩擦角),而常规MC仅有一个摩擦角,无法模拟出从峰值强度到残余强度的软化过程,而状态相关MC是可以的。
因此,适用性来说,摩尔库伦模型仅适用于小变形下的强度分析,而状态相关MC可以模拟砂土在大变形下的力学行为。
2、状态相关摩尔库伦的关键方程组
首先是临界状态线参数:
其次是定义状态变量:
然后假设剪胀D和状态变量线性相关:
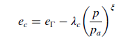
根据物理定义求剪胀角:
同样的步骤给出摩擦角的定义:
以上具体内容可以看上面提到的文献,有给出很详细的参考文献资料。
3、枫丹白露砂的状态相关摩尔库伦的标定
同样地,根据试验数据,确定临界状态线参数为:
而通过试验数据,确定剪胀和摩擦角参数为:
具体的标定过程及数据来源,查阅上文提到的文献。
4、基于fish嵌入FLAC的上述状态相关MC开发
这次FLAC单元测试采用一个Brick单元,探究其单元体力学响应。当然,本文这套代码也支持生成任意nx * ny * nz规格的长方体单元试样,如下图。
得到的剪应力-竖向应变曲线为:
得到的体应变-竖向应变曲线为:
分析:可以看到,修正过后的状态相关MC可以模拟出剪到临界状态的特性,在大变形下的力学行为更加合理。
付费说明
本文涉及到的代码均有偿提供,有两块内容如下图,ElementTest.dat是一个提供任意尺寸和网格的长方形单元试样三轴测试的命令流文件,可以用该命令流进行FLAC的单元力学测试,进行参数标定。StateDependentMC.fis是基于FISH的修正MC本构模型二次开发文件,可以为您提供一个基于FISH做本构二次开发的参考,也适合直接使用该状态相关摩尔库伦模型进行数值模拟。该案例同时可以教您如何在FLAC计算中嵌入自定义的FISH函数,实现本构模型的二次开发。
需要的同学联系微信:su3519545754,该案例售价为39元。
工程师必备
- 项目客服
- 培训客服
- 平台客服
TOP




















