理性化了的Tsai-Wu破坏准则
2023年5月11日 18:59本期内容特邀英国诺丁汉大学的李曙光(Shuguang Li)教授对Tsai-Wu破坏准则的理性化分析进行一番精彩评述。详细的分析、论证过程参见文末参考文献[1-3]。
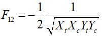
Stephen W. Tsai和Edward M. Wu在1971年发表了他们的Tsai-Wu破坏准则[4],虽然开始是针对一般正交各向异性体提出的,但在未作任何探讨的情况下,便迅速地切入了对纤维增强复合材料更适用的所谓的横观各向同性材料。Tsai-Wu准则中的破坏函数,是一个关于应力分量的二次函数。Tsai和Wu成功地将该二次函数中各应力分量及其乘积项的系数,用通常意义下可以理解的,在材料的主轴方向上的,各种单向应力状态或纯剪应力状态下的强度表示了出来,除了其中之一,即F12。之后的一段时间里,人们尝试了各种办法,试图测量这个悬而未决的F12,但均无功而返。到1980年,Stephen W. Tsai和H. Thomas Hahn建议将其取作
由于种种原因,Tsai-Wu准则从来没被系统、全面地建立起来过,其成功仅限于平面应力条件下的特殊情况。此时的效果,被公认为是不错的。而如果按Tsai和Hahn所建议的F12,将Tsai-Wu准则应用于一般的三维应力状态,则不时会得出十分离谱的结果。众所周知的Hashin准则就是鉴于无法确定F12的现实,通过引入一个特定的假设,进而规避了F12,同时以破坏模式的形式进行分类。关于Hashin准则,我们将在后期另行讨论。
半个多世纪过去了,关于F12,人们似乎仍然一筹莫展,很大程度上,人们可以以研究新问题,或者转而研究损伤理论为由来回避这个问题,当然,这并不意味着这个问题不再需要解决了。事实上,在新的问题中,如损伤理论,损伤起始,也还是需要一个准则的,常常这个准则是从某个破坏准则发展而来的。不过,因为这时人们的注意力通常已被转移到了新的问题上,对其所采用的准则,就得过且过了。
如果这个问题注定是搞不清楚了,即便是用尽了所有资源仍无济于事,也无可奈何。然而,就F12而言,资源真的都用完了吗?
前面已经提到,Tsai-Wu准则的破坏函数是一个二次函数。二次函数是所有函数中,为数不多的一类,现有的数学知识对其有清楚、无死角认知的。在解析几何中,这些认识被归纳为二次曲面问题。解析几何提供了大量的信息,本研究则巧妙地利用了这些信息。这样,关于破坏包络面的形态,可以简单地从自洽性角度出发来唯一地确定,即破坏包络面唯一能够自圆其说的选择是椭圆拋物面。由此,加上另外一个合乎情理的考虑,F12便可被唯一地确定了,其与Tsai和Hahn所建议的完全相同。然而,这还不是所有,因为仅仅是这样,Tsai-Wu准则是不自洽的。F12的确定还必须由另一条件相伴随,即横向剪切强度不再是一个独立的材料常数,而必须由横向的拉伸和压缩强度导出,这一点其实不难理解。对横观各向同性材料而言,若在其横截面内施加一个平面应力状态,按照原来的Tsai-Wu准则来评估强度的话,需要三个强度常数,即横向拉伸强度、横向压缩强度以及横向剪切强度。需要注意的是,此时在该平面内,材料是各向同性的,而对一般的各向同性材料,欲评估其在任意一个二维、甚至三维应力状态下的强度,采用任何建立在二次函数基础之上的破坏准则,至多需要两个独立的强度常数。因此,横向的拉、压强度和横向的剪切强度这三个强度常数不能是完全独立的。
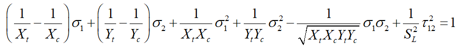
基于上述的分析,理性化后的Tsai-Wu准则可以给出如下形式:
其中Xt和Xc分别为沿纤维方向的拉、压强度,Yt和Yc分别为垂直纤维方向的拉、压强度,SL为面内的剪切强度。较之于原版的Tsai-Wu准则,该理性化了的Tsai-Wu准则无论是在二维应力状态下还是在三维应力状态下,仅需要上述五个强度常数,这显然更简单、更易于使用。那么,何乐而不为呢?
值得强调的是,上述的两个条件,即交叉项系数
和横向的剪切强度
的同时引入,确保了Tsai-Wu准则的自洽性。这就是对Tsai-Wu准则的理性化。
作为对理性化后的Tsai-Wu准则的自洽性的一个验证,它可以无缝地退化到广为接受的、适用于各向同性材料的破坏准则,如Raghava-Caddell-Yeh准则和von Mises准则。
如果应力限于面内的平面应力状态,那么,理性化后的Tsai-Wu准则与其原来的形式也完全相同,即:
这也解释了为什么原来的Tsai-Wu准则在二维应力状态下比较靠谱。
破坏包络面的形态在原来的Tsai-Wu准则中,其实是不确定的,认为破坏包络面封闭,那是从有限强度的假设得出的一个一厢情愿的观念,缺乏充分的数学依据。所谓有限强度的假设,其本身,既不必要也不充分,事实上,各向同性材料,作为横观各向同性材料的一个特例,其在静水压力下的强度通常都认为是无限的。破坏包络面的形态在原来的Tsai-Wu准则中的不确定性,可以从如下的简单例子充分展示。因为横观各向同性的条件的利用,即便应力状态仅涉及材料主轴方向的正应力,破坏包络面也与横向剪切强度有关。按原来的Tsai-Wu准则,以WWFE-II[6]中的T300/PR-319为例,其中的横向剪切强度为ST=45 MPa,这时破坏包络面为一椭球;如果横向剪切强度是一个通过测量所得的材料常数的话,它有10%的误差,那是不足为奇的,因此,ST=40.5 MPa是一个完全可能的值,这时,在其他强度参数都不变的的条件下,破坏包络面就会是一个单叶椭圆双曲面;而如果ST取一个特定的中间值,如40.82 MPa,这时的破坏包络面将是一个椭圆抛物面。这三种不同的情形分别示意如下三图。作为一准则,其破坏包络面的形态如此地不确定,是其在一般情况下应用不靠谱的根本原因所在。
本研究还彻底解决了Tsai-Wu准则关于载荷非线性这一事实给设计人员所带来的困扰,从而,破坏的临界载荷水平可以由应力状态通过一次分析完全确定。同时也给出了与理性化后的Tsai-Wu准则相一致的以应变形式给出的破坏准则。
参考文献:
[1] Li S, Xu M, Sitnikova E. The Formulation of the Quadratic Failure Criterion for Transversely Isotropic Materials: Mathematical and Logical Considerations[J]. Journal of Composites Science, 2022, 6(3): 82.
下载链接:https://www.researchgate.net/publication/359070584_The_Formulation_of_the_Quadratic_Failure_Criterion_for_Transversely_Isotropic_Materials_Mathematical_and_Logical_Considerations
[2] Li, Shuguang & Xu, Mingming & Sitnikova, Elena. (2022). Fully Rationalised Tsai-Wu Failure Criterion for Transversely Isotropic Materials. Chapter 9 in book: DOUBLE–DOUBLE A New Perspective in The Manufacture and Design of Composites,Stanford.
下载链接:
https://www.researchgate.net/publication/360749263_Fully_Rationalised_Tsai-Wu_Failure_Criterion_for_Transversely_Isotropic_Materials
[3] Shuguang Li, Elena Sitnikova, Yuning Liang, Abdul-Salam Kaddour,The Tsai-Wu failure criterion rationalised in the context of UD composites, Composites Part A: Applied Science and Manufacturing,Volume 102,2017,Pages 207-217,ISSN 1359-835X, https://doi.org/10.1016/j.compositesa.2017.08.007.
下载链接:
https://www.researchgate.net/publication/318903260_The_Tsai-Wu_Failure_Criterion_Rationalised_in_the_Context_of_UD_Composites
[4] S.W. Tsai and E.M. Wu, “A general theory of strength for anisotropic materials”, Journal of Composite Materials, 5:58-80, 1971.
[5] S.W. Tsai and H.T. Hahn, Introduction to Composite materials, Technomic Publishing Company, Westport, CT06880, USA, 1980.
[6] A.S. Kaddour, and M.J. Hinton, “Evaluation of Theories for Predicting Failure in Polymer Composite Laminates under 3-D States of Stress”, Journal of Composite Materials, 46(19-20):2295-2312, 2012
原创作者:李曙光 (Shuguang Li)
邀请人&责任编辑:周建武
工程师必备
- 项目客服
- 培训客服
- 平台客服
TOP




















