电机噪声来源以及如何降噪


电机噪声主要来自三个方面:空气噪声、机械噪声和电磁噪声,但有时也会将电路内部噪声列入噪声源之一。电路内部噪声主要来自电路自励、电源哼声以及电路元件中的电子流起伏变化和自由电子的热运动。

1. 空气噪声

电机噪声来源以及如何降噪的图1
空气噪声主要由于风扇转动,使空气流动、撞击、摩擦而产生。噪声大小决定于风扇大小、形状、电机转速高低和风阻风路等情况。

空气噪声的基本频率
电机噪声来源以及如何降噪的图2
其中,N——风扇叶片数;n——电机转速。

风扇直径越大,噪声越大,减小风扇直径10%,可以减小噪声2—3dB。但随之冷量也会减少。当风叶边缘与通风室的间隙过小,就会产生笛声(似吹笛声)。如果风叶形状与风扇的结构不合理,造成涡流,同样也会产生噪声。由于风扇刚度不够,受气流撞击时发生振动,也会增加噪声。此外,转于有凸出部分,也会引起噪声。

电机噪声来源以及如何降噪的图3
2. 机械噪声
空气噪声主要由于风扇转动,使空气流动、撞击、摩擦而产生。噪声大小决定于风扇大小、形状、电机转速高低和风阻风路等情况。

空气噪声的基本频率
电机噪声来源以及如何降噪的图4
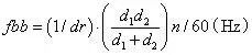
则滚珠的旋转频率
电机噪声来源以及如何降噪的图5
式中:
dr——滚珠直径(mm)
d1——轴承内圈滚道的直径(mm)
d2——轴承外圈滚道的直径(mm)
保持架的旋转频率
电机噪声来源以及如何降噪的图6
其中,N——风扇叶片数;n——电机转速(RPM)。

而轴承内外圈滚道中的波纹、凹坑、超糙度是引起噪声的主要原因。

试验表明,噪声声压级与滚动面的波纹高度和波纹数的乘积成正比。此外,径向游隙的大小,也影响噪声,减小径向游隙,可降低噪声,但是径向游隙小的轴承要求配用在两轴承室同心度高的机壳和端盖,并且对转子同轴度的要求提高。

同时润滑脂质量的优劣也是影响噪声的主要原因。噪声与润滑脂的粘度有关,试验表明,噪声随粘度增大而减小,但粘变增大到一定数值后,噪声反而增大,这是因为油膜对振动有援冲作用,粘度大、噪声低,但当粘度过大,转动时出现搅拌声。

安装误差对轴承噪声的影响。轴承的安装误差超过某一临界值会使轴承噪声急剧增大,而临界角随轴承径向游隙减小而减小。图一表示某单列内心轴承在不同径向游隙时安装误差角对噪声的关系。
电机噪声来源以及如何降噪的图7

3. 电磁噪声
电机噪声来源以及如何降噪的图8
作用在电机定、转子空气隙中的交变电磁力会使电机定转子产生振动及噪声。由于气隙磁场不仅有基波而且还有一系列高次谐波存在,这些磁场相互作用将产生周期性的作用力,基波及高次谐波电磁力均会引起振动及噪声。

电磁声频率分布大多在100-4000Hz之间。振动及噪声强度的大小与电磁力的大小和定子、转子刚度有关。当激发振动的电磁力与振动的零部件的自振频率相吻合时,将会产生共振,振动及噪声也将显著增加。电磁力有径向分量和切向分量,电磁力径向分量在引起电机振动及噪声方面起主要作用,它使定子铁心产生径向振动,径向振动产生的噪声为电机电磁噪声的主要成分。在采用单数槽转子冲片时,槽致噪声成为电磁噪声的最主要部分。电机运行过程中,单数槽的转子铁芯周期性地受到单边磁拉力的变化所产生的,其原因可通过图一来解释。

电机噪声来源以及如何降噪的图9

在图(a)中,上磁极极弧下覆盖三个转子槽,而下磁极极弧只覆盖两个转子槽,此时上部磁拉力大,下部磁拉力小,使定子铁芯有向上移动的趋势。当转子转动半个槽距后,则如图(b)所示,此时下磁极极弧覆盖了三个转子槽,而上磁极极弦只覆盖了两个转子槽,此时的磁拉力情况起了变化,下部磁拉力大,上部磁拉力小,因此定子铁芯有向下移动的趋势。所以在转子旋转过程中,定子铁芯产生周期性的上下振动。同理,转子受到了周期性变化的单边磁拉力,从而引起转子振动。

采用双数槽转子时,不会发生上述情况,但转子旋转时槽位变化,在气隙中造成脉振磁场,也可能引起振动。

按照上面分析,所产生的电磁噪声频率
电机噪声来源以及如何降噪的图10
式中:Z ——转子槽数
在电磁噪声中,除上述原因所产生的噪声外,还由于电流中的高次谐波分量,在定转子气产生谐波磁场,也会产生不均匀的力矩,造成振动而产生噪声。

噪声鉴别方法

1. 断电法
利用电磁噪声随磁场强弱、负载电流大小以及转换高低而变的特征,对空载运行的电动机静听一段时间后突然切断电源,随着电源的切断部分噪声会立即消失,此为电磁噪声。停电后电机借惯性继续运转产生的噪声则为机械噪声。反复数次以期得到确定。

2. 改变电压法
将电源电压急速下降至一定限度(转速无较大变化)时,如果电磁噪声是电机噪声的主要部分,则会随电压变化很大,而其他噪声基本不变。

3. 电流测试法
若定子绕组不对称或内部断相、匝间短路,则三相电流不平衡;若转子断笼或绕线式电机转子三相不对称,则定子电流有波动,以此来鉴别出电磁噪声。

4. 拖动法
用低噪声电动机拖动被试电机旋转,提起及放下碳刷数次,可鉴别出碳刷噪声的影响。

5. 拆卸部件法
对于空气动力噪声具有稳定的特征,可以通过取下风扇(小型电动机)或外鼓风机(大、中型电动机)前后噪声变化的情况来鉴别。另外,更换不同外径和型式的风扇,在不同转速下区分噪声的差别,也可鉴别出风扇噪声

噪声控制方案

1. 合理设计电机的结构
(1)正确选用风扇材质和结构:单向旋转的高速电动机,可采用流线型后倾式离心式风扇,对离心式风扇,带倒向环的比不带倒向环的噪声低;此外,盆式风扇比大刀式风扇噪声低;铝质风扇比尼龙风扇噪声低。
(2)改进风路:加大风扇外缘与风扇罩或端面内腔间隙,取消风道中的障碍,使风流方向平滑,可改善噪声。
(3)定子绕组采用合理的短距。
(4)异步电动机转子采用相对倾斜的双斜槽结构以减少轴向力;直流电动机采用不均匀气隙。交流电动机采用磁性槽楔,不但可以减少谐波损失提高效率,还可以减少由谐波磁场引起的电磁噪声。
(5)使用中的电机产生“扫膛”时,可适当增大气隙以减少气隙磁密。当电机功率有裕量时,可将转子圆周车去一部分,以增大气隙,消除高次谐波引起的噪声,但在减小的同时,增大了空载电流,并使功率因数有所降低。
(6)适当控制轴承滚动面的波纹、凹坑、粗糙度及径向间隙。
(7)提高换向器表面加工精度和光洁度以减少电刷噪声。
(8)增加机座刚度及平衡度,必要时可用水平仪做一下地基的水平;目测一下电动机安装角度与拖动的机械是否合适。
电机噪声来源以及如何降噪的图11
2. 确保装配工艺精良
(1)选用高质量的轴承。轴承与转轴或轴承与轴承座之间的配合应适当,并控制好轴承热套时的温度及时间。
(2)转子动平衡不好是产生机械噪声的主要原因,所以要提高转子的动平衡检验精度,尽量减少偏心的影响,保证电动机安装时联轴器的同心度。
(3)轴承润滑脂选用合适型号且无杂质。轴承内腔所涂的润滑脂量应为轴承室内部空间的1/3—2/3为宜。
(4)不同种类的轴承需按其安装工艺的要求安装轴承装配原则上不允许采用铜棒击打的方法,否则会由于轴承内圈受力不均损伤轴承。采用热套方法装配轴承时,事先要仔细检查轴承与轴颈的配合尺寸,因为热套与冷套不同,热套时套入轴承的过程中,不易发觉轴颈与轴承的配合公差和过盈程度是否适宜。轴承热套后不应移动电机或装配其他附件以防止轴承移位。

其他减噪方式

(1)容量超过10MW,转速超过1000r/min的大容量高速电动机,采用刚性的隔离罩(内表面粘贴吸音材料)将电机罩起来,是最有效的减噪办法。
(2)在产生气流噪声最强的部分加装有对气流的阻力小,不影响电机散热和装卸方便的消声器。
(3)搬运中避免机座遭受机械撞击。
(4)电动机是从电源吸收电能,转换成机械能再从轴上输出,所以电网中采取动态无功补偿和滤波装置,使电源中的谐波分量符合规范要求,提高供电质量,保证电压、频率合格,三相电压平衡,以控制电机噪声。
(5)电动机运行时轴承盖不应打开;保持电动机的清洁;定期更换润滑脂;经常清洁换向器表面以保持其良好的润滑接触。

文章来源:康沃真空网

登录后免费查看全文
立即登录
App下载
技术邻APP
工程师必备
  • 项目客服
  • 培训客服
  • 平台客服

TOP

1
1
3