ANSYS Fluent案例|利用Turbo流程计算压缩机性能
2023年6月20日 11:42本案例应用Fluent Turbo工作流设置流体流动模拟来评估1.5级压缩机的性能。Turbo工作流可以在Fluent中很容易地进行涡轮机械分析设置,允许在其中描述涡轮机器的类型及其参数配置,导入计算网格,并定义涡轮相关的工况条件,创建涡轮机械特定拓扑和报告工具。
注意:Turbo工作流是Fluent最新版本提供的功能。
1 问题描述
本案例模拟如下图所示的具有进口导叶、转子和定子的压缩机。几何模型是4.5级轴向汉诺威压缩机的前三排(由TFD汉诺威提供)。进口导叶有26个叶片,转子有23个叶片,旋转速度为17100 RPM,定子有30个叶片通道。进气口的总压为60000 Pa,出口的静压60500 Pa,指定其沿径向均匀分布。
计算网格如下图所示,其由三部分组成。
2 Fluent设置
-
以 3D、Double Precision方式启动Fluent
2.1 Turbo流程
-
选择工具栏按钮 Domain → Turbomachinery → Turbo Workflow → Enable Workflow启动工作流程
Turbo工作流程如下图所示,按照流程往下撸就可以了。
-
点击菜单 File → Preferences打开设置对话框,如下图所示对Turbo Workflow参数进行设置。这里的设置只是方便后面边界自动识别,不设置也没有关系。同时也说明在网格边界命名时遵循一些规则,可以省很多的事情。
-
选择节点 Describe Component,进行以下设置 -
指定 Component Type 为 Axial Compressor -
设置 Number of Rows 为 3,并如下图所示指定3个区域的参数
此时Fluent图形窗口如下图所示,其显示了上面设置的各部分组件的参数配置。
-
选择节点 Define Blade Row Scope,保持默认设置,点击按钮 Define Blade Row Scope进入下一步
注:将
”Include Row设置为no会将该组件从计算域中去除。
-
选择节点 Import Mesh,选择网格文件 S2.gtm、R1.gtm、IGV.gtm,点击左下角按钮 Import Mesh导入网格
除了gtm格式的网格文件外,工作流还支持msh、def、cgns格式的网格。导入网格后的图形窗口如下图所示。
-
选择流程节点 Associate Mesh,在下方面板中为不同的row指定网格域,如下图所示,点击按钮 Associate Mesh关联网格
-
选择流程节点 Map Region,如下图所示,软件会自动为不同的边界指定网格,这里检查一下然后点击按钮 Map Region进入下一步
-
选择流程节点 Create CFD Model,如下图所示设置各区域的叶片数量,点击按钮 Create CFD Model确认设置并进入下一步
-
选择流程节点 Define Turbo Physics,如下图所示设置参数 -
指定 Rotation Speed为 1790.708 rad/s -
指定 Operating Pressure为 0 Pa -
设置 Working Fluid为 Air(ideal gas) -
点击按钮 Define Turbo Physics进入下一步
-
选择流程节点 Define Turbo Regions and Zones,如下图所示设置参数,点击按钮 Define确认参数并进入下一步
-
选中流程节点 Define Turbo Topology,如下图所示保持默认设置,点击按钮 Define Turbo Topology进入下一步
-
选择流程节点 Define Turbo Surface,如下图所示创建3个等值面用于后处理
-
选中节点 Create Report Definitions & Monitors,保持默认设置,点击按钮 Create创建报告定义及监测
图形界面中显示等值面的位置。
此时工作流已经帮助我们设置了所有的参数,可以在Outline View列表中查看并确认,如下图所示。
只要网格划分时为边界进行了合适的命名,那么在流程中绝大多数的操作可以采用默认设置。
2.2 求解计算
-
采用Hybrid初始化,如下图所示设置初始化参数并初始化
-
迭代计算100步
-
效率监测结果
-
压比监测结果
-
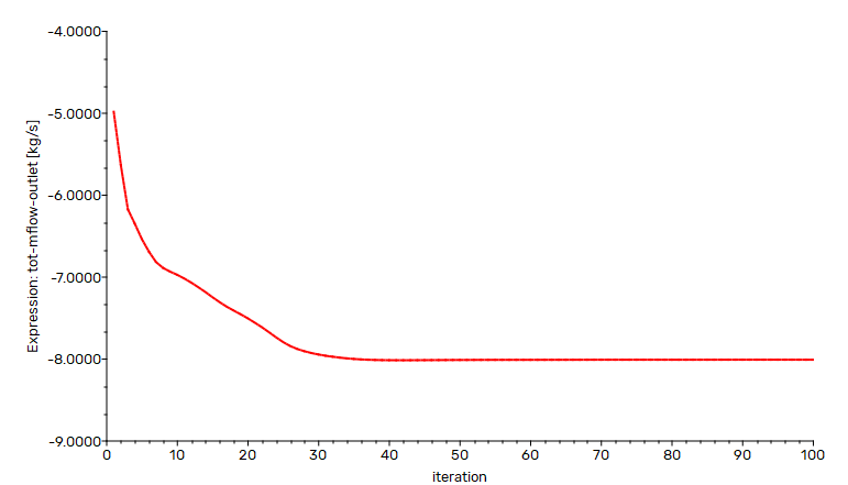
出口流量监测结果
发现计算收敛还是挺不错的,大概四十来步能够达到收敛。
2.3 后处理
-
可以看到计算流程为我们创建了一系列的云图
-
如0.75中面上的马赫数云图
-
0.75中面上的总压云图
-
0.75中面上的速度数云图
-
可以选择所有的表达式,点击右键菜单 Compute 进行计算
注:这些表达式是流程自动创建的。
”
-
表达式计算结果
-
可以选择所有的Report Definitions,点击右键菜单 Compute进行计算
计算结果如下图所示,该有的信息基本上都有了。
注:利用Turbo工作流进行涡轮机械仿真计算的确非常方便。不过我想,有了这玩意儿,ANSYS是嫌CFX死得不够快么。
案例下载链接:https://pan.baidu.com/s/19RNpI0Gpy_T-mayE1UMcPg?pwd=cqsq 提取码:cqsq
”
文章来源:CFD之道
工程师必备
- 项目客服
- 培训客服
- 平台客服
TOP




















