具有高导热性和界面适应性的可回收BN/环氧热界面材料

推文图(无二维码).jpg

来源 | Chemical Engineering Journal



01

背景介绍

随着电子器件向小型化、集成化、大功率密化的方向发展,对高效散热技术的需求日益迫切。热界面材料(TIMs)通过连接热源和散热器,可以有效避免过热和设备损坏。最新的TIM不仅要求高热流密度以适应轻量化趋势,而且要求可回收性以缓解电子垃圾带来的环境压力。然而,制备既具有高散热性能又具有可回收性的TIM仍然是一个巨大的挑战。

含有导热填料的聚合物复合材料是高性能TIM的可行候选材料。其中氮化硼(BN)填料因其优异的各向异性热输运、介电性能、热稳定性和机械强度而受到广泛关注。先进的BN/聚合物复合材料主要旨在通过相互接触、连续相、规则取向或单向组装来获得更高的导热性。然而,这些方法不仅涉及复杂的工艺,而且对粗糙表面的顺应性仍未得到解决。

迄今为止,人们已经探索了多种策略,包括构建夹层结构,降低模量,设计微/纳米流体,以及使用热塑性基质,以赋予TIM具有适应性界面。由于热塑性材料的弹性变形,在热塑性复合材料中,通过叶片涂布、静电纺丝、热压、拉伸等方法可以很容易地获得填料的界面柔度和取向。然而,热塑性塑料相对较低的力学性能和较高的热应力不利于其长期使用。最近,热固性树脂具有低介电常数和优异的热性能和力学性能,被认为是TIM的理想基材,但其不溶性和不溶性使其难以符合TIM的粗糙表面,难以回收利用。

02

成果掠影


近期,中国科学院宁波材料技术与工程研究所的代金月老师针对开发高导热以及具有可回收性的TIM取得新进展。本研究采用热压诱导取向法制备了具有各向异性导热性和可回收性的高性能BN/环氧复合材料,并且具有表面相容性的完全可回收的TIM。
结果表明,仅通过简单的热压处理,填充的BN就可以很容易地在平面上取向,导热系数为3.85 W/(mK),BN含量为40 wt %,比原始环氧树脂高30倍,比热压处理前的复合材料高4.3倍。由于优越的导热性和机械顺应性,由所制备的复合材料制成的电子器件的核心温度比商用硅酮材料低20℃。此外,得益于所合成的环氧玻璃体的多级降解机制,所制备的复合材料可以在温和的条件下进行高效的化学回收,BN回收率为96.2%,其他有机原料的回收率为73.6% ~ 82.4%。这项工作为我们设计可回收和高性能的TIMs提供了一种新的策略。
研究成果以“A Full-component recyclable Epoxy/BN thermal interface material with anisotropy high thermal conductivity and interface adaptability ”为题发表于《Chemical Engineering Journal》。

03
图文导读

具有高导热性和界面适应性的可回收BN/环氧热界面材料的图2
图1.BN/环氧复合材料的制备及其各向异性和可回收性示意图。

具有高导热性和界面适应性的可回收BN/环氧热界面材料的图3
图2. (a)所设计的环氧玻璃体体系化学式以及分级降解机理示意图,(b)机械性能,(c)储能模量示意图。

具有高导热性和界面适应性的可回收BN/环氧热界面材料的图4
图3.(a)热压诱导取向过程示意图,(b)热压下BN在环氧基体中的界面缺陷变化、应力分布和取向,环氧树脂/BN-40 wt%复合材料的面内截面示意图,(c)原始复合材料,(d)加工后的复合材料,(e)纯BN和环氧/BN-40 wt%复合材料的XRD,(f)原复合材料和加工后复合材料的抗拉强度,(g-h)处理前后环氧树脂/BN-40 wt%复合材料拉伸截面的SEM图像。

具有高导热性和界面适应性的可回收BN/环氧热界面材料的图5
图4.(a)根据插图,环氧树脂/BN复合材料在平行和垂直方向上的导热系数,(b)环氧树脂/BN复合材料的导热系数,(c)各向异性与文献结果的比较,(d)加工后的复合材料与原始复合材料的仿真结果。

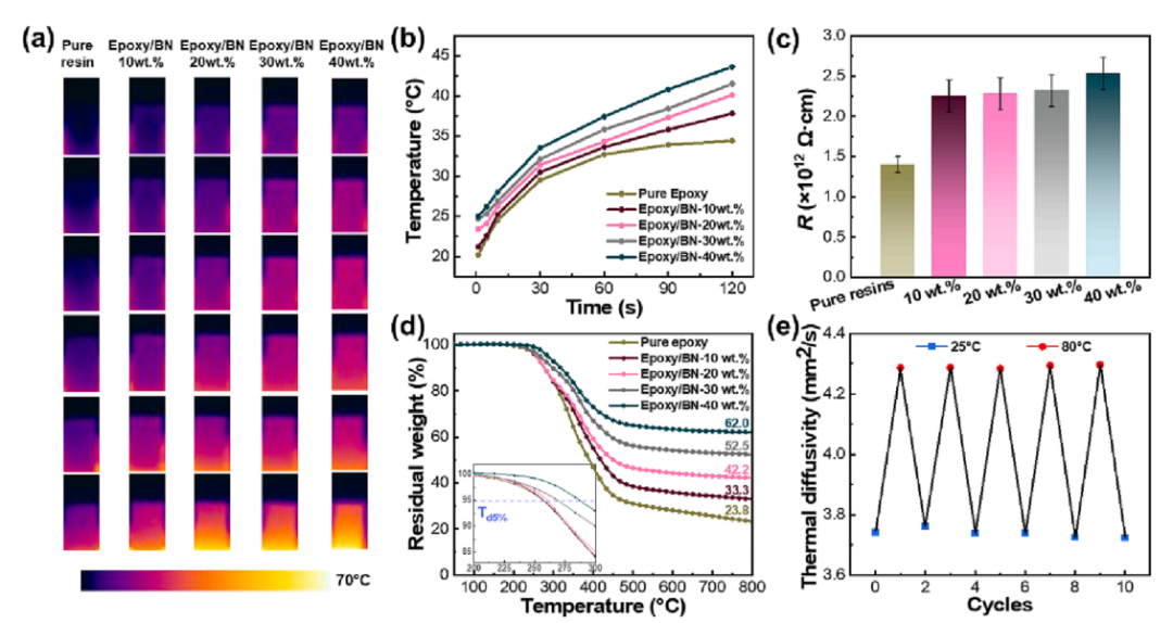
具有高导热性和界面适应性的可回收BN/环氧热界面材料的图6
图5.(a)不同材料的实时红外图像,(a)时间-温度曲线,(c)纯树脂和复合材料的体积电阻率,(d)热稳定性,(e) 加热/冷却循环的热扩散系数值。

具有高导热性和界面适应性的可回收BN/环氧热界面材料的图7
图6.(a)自制含TIM装置示意图及对粗糙表面的适应性说明,(c)热压后600目砂纸和从砂纸上剥离的环氧树脂/BN 40 wt%的SEM图像,(d)总热阻的演变,(e)BN-40%/环氧树脂和商用硅胶垫片性能对比。

END



★ 平台声明
部分素材源自网络,版权归原作者所有。分享目的仅为行业信息传递与交流,不代表本公众号立场和证实其真实性与否。如有不适,请联系我们及时处理。欢迎参与投稿分享!

登录后免费查看全文
立即登录
App下载
技术邻APP
工程师必备
  • 项目客服
  • 培训客服
  • 平台客服

TOP