十二、梯度和散度--流体力学理论知识
和 这两种表达式经常出现在流体力学公式中,尽管两者形式很相近,但是表达的意义却大相径庭。这次我们通过介绍梯度和散度,来掌握一些公式化简的技巧。
1. 梯度算子
什么叫梯度算子? 这个表达式看似是一个整体,实际上却是由两个物理符号组成。 其中 是一个物理量,可以是密度、压力、温度等, 就是梯度算子。
梯度算子是高等数学的一个概念,表示空间各方向上的全微分,表达式为:
(
)
从表达式我们能够看出,实际上梯度算子是一个向量,只不过这个向量的各个分量是微分形式。如果有其他的物理量与其结合,就能够组成一些表达式。
2. 梯度
了解了什么是梯度算子之后,我们能够很容易的得到梯度公式。梯度本质上就是梯度算子与一个物理量相乘,如
(
)
由于 为密度,是一个标量物理量,因此直接将 乘进括号即可,得:
(
)
公式3即为密度的梯度 。
注:
1) 梯度是一个向量,一个标量函数的梯度记为: 或grad 。在三维直角坐标中表示为 ;如函数 的梯度为 。
2) 梯度的方向表示标量变化最快的方向,梯度的模表示标量变化最快方向的变化量及最大变化量。
3) 柱坐标下的梯度算符
此处的加法并非数学运算的加法,而是向量的表达方法。其中分别是柱坐标下三个方向(径向、切向和轴向)的单位向量
3. 散度
散度(divergence)可用于表征空间各点矢量场发散的强弱程度,物理上,散度的意义是场的有源性
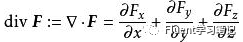
对于一个矢量场 而言,散度有两种不同的定义方式。第一种定义方式和坐标系无关:
第二种定义方式则是在直角坐标系下进行的:
从第二种定义方式来看,散度实际上是梯度算子与一个矢量物理量点乘,这个矢量物理量在流体力学中一般为速度V。因此将散度展开书写为公式(4),两个向量的点乘等于各个分量相乘再相加,也就是上式。
(
)
注:
1)梯度为向量,而散度为标量。
2)梯度 和散度 符号类似,但两者意义相差甚大。梯度的 为标量,其意义是对三个方向分别求偏导。而散度的V为矢量,表示的是梯度算子与矢量V的点乘,求和之后为标量。
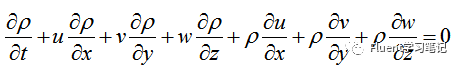
4.举例
对于流体力学连续性方程公式(5)进行简化表达。
(5)
对于这个方程我们可以看到,方程左边第二项到第四项可以写成 ,方程左边后三项可以简写成 。因此式5可以简写为:
而6式的第一项和第二项实际上为密度的随体导数(关于随体导数,也是流体力学中常出现的符号),可以写作 ,因此6式可写为:
当流体为不可压缩流体时,密度为常数,此时 ,公式7为:
公式8即为我们经常遇到的不可压缩流体的连续性方程。
5.总结
梯度和散度只是流体力学中两个比较基本的概念,还有一些其他的知识点需要我们掌握,比如拉普拉斯算子、雷诺输运方程、高斯定理等,当掌握这些知识之后,流体力学的三大守恒公式就可以自行推导了。
工程师必备
- 项目客服
- 培训客服
- 平台客服
TOP




















