三十一、Fluent空化模型
1. 概念
流体中的声波其实是一种压力波,在液体中机械振动使其内部压强发生变化,当压力降低时候流体内部或者在一些流固界面上会出现结构断裂从而形成空腔,这种形成空腔的过程便称为空化。
常见的便是船舶螺旋桨在水中的剥蚀
手枪在水中发射
Fluent多相流模型中,无论哪个多相流模型(VOF、Mixture、欧拉等),在质量传输界面都包含空化模型
Multiphase Model-Phase Interaction-Heat、Mass、Reactions
2. 模型描述
当流体流经锐边孔板后,边界层分离会引起的空化问题。流体由压力驱动,进口压力为5.0e5Pa,出口压力为9.5e4Pa。孔板直径为4e-3m,孔板几何参数D/ D = 2.88, L/ D =4。其中,D、d、L分别为进口直径、孔口直径、孔口长度
3. 基本设置
3.1 导入网格:
使用Fluent软件打开Chapter31.msh.gz网格文件,文件在本文末尾链接资源内。
3.2 修改模型尺寸
Scale Mesh-Scaling-Specify Scaling Factors
在下面的Scaling Factors中的X和Y都输入20,表示X轴和Y轴都扩大20倍
注:Scale Mesh设置
1.上图左边Domain Extents表示的是模型在各维度上的尺寸,下面的View Length Unit in表示模型尺寸以什么单位显示,这个选项只是显示的不同,并不会改变模型大小。
比如,模型X方向2m,Y方向1m,View Length Unit in选择cm,则Domain Extents显示的是X方向200cm,Y方向100cm。只是单位改变了,但是模型尺寸并没有变。
2.下面仔细说明一下Convert Units和Specify Scaling Factors的不同,两种方法都可以真实的改变模型尺寸,但是方法有所不同。
3.Convert Units:是转换单位,也就是同时改变X轴和Y轴的单位,改变了模型的大小。比如模型X方向2m,Y方向1m,选中Conbert Units,在Mesh Was Created IN下选择cm,则Domain Extents显示的是X方向0.02m,Y方向0.01m。
这里把本来的单位m改为了cm,但是因为View Length Unit in仍然是以m为单位显示,因此显示X方向0.02m,Y方向0.01m。
这种方法可以同时对X和Y轴进行缩小固定倍数,但是却无法放大,也就是在上述操作模型尺寸缩小100倍后,无法使用上述方法使模型放大100倍。因此相对来说,第二种方法更好一些。
4.Specify Scaling Factors:指定缩放因子,当选中此项时,可在Scaling Factors栏下输入缩放因子。比如X栏输入2,Y栏输入0.5,则表示模型X方向放大2倍,Y方向变为原来0.5倍。可实现第一种方法的所有功能。
3.3 求解器设置
基于压力求解器,稳态设置,2D Space选择Axisymmetric。参考公众号文章十四Fluent 2D Space设置https://mp.weixin.qq.com/s/32yn0lvopuKUVF7s1_rJjA
4. 设置计算模型
4.1 多相流模型设置
选择Mixture模型,不勾选Slip Velocity,单击Apply。
高湍流不考虑气泡的长大,因此不勾选重力。假定气泡速度与液体的速度相同,不需要求解滑移速度。
4.2 湍流模型设置
选择Realizable k-e模型,标准壁面函数,单击ok
5. 材料设置
5.1 添加water
Materials-Fluid-Create/Edit...
在Materials下,单击Create/Edit...,弹出如下面板。
Name输入water-liquid,化学式输入h2o,Density输入1000,Viscosity输入0.001。单击Change/Create
5.2 添加水蒸气
打开材料数据库,选择water-vapor,单击copy
弹出water-vapor材料设置界面
Name输入water-vapor,化学式输入h2o-v,密度输入0.02558,粘度输入1.26e-06,单击Change/Create
6. Phase设置
6.1 相设置
左边Phases选择Primary Phase,Name输入water,Phase Material选择液态水。单击Apply
次相Name输入vapor,Phase Material选择water-vapor,Diameter输入1e-05,单击Apply
6.2 空化模型设置
选择Phase Interaction-Heat,Mass,Reactions.
From Phase选择water,To Phase选择vapor,Mechanism选择Cavitation。
注:Note that the phase you select for From Phase must be a liquid if you plan to select cavitation, evaporation-condensation, or boiling from the Mechanism drop-down menu。相变模型中From Phase必须是液体,To phase必须是蒸汽
6.3 Cavitation设置
选择Schnerr-Sauer模型,输入气泡数量密度Bubble Number Density为1e+13,空化压力为3540,当压力达到3540pa时,液体气化为蒸气。
注:Schnerr-Sauer模型
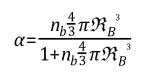
Schnerr-Sauer模型用下列表达式将蒸汽体积分数与气泡数联系起来:
式中的nb即气泡数量密度Bubble Number Density
空化理论此处简单提及,后面会单出一篇文章介绍
7. 边界条件设置
7.1 inlet边界设置
选择inlet,左下角Phase选择mixture,设置为
Pressure Inlet。单击Edit...,弹出如下页面
Gauge Total Pressure输入500000,
Supersonic/Initial Gauge Pressure输入449000
Specification Method选择K and Epsilon
Turbulent Kinetic Energy输入0.02
Turbulent Dissipation Rate输入1,
单击Apply
注:此处出现的压力含义可参考公众号文章六Fluent出现的压力大全解https://mp.weixin.qq.com/s/A68L7SJr8Whp_iOqaklwew
Inlet下的Phase选择vapor,设置进口蒸汽体积分数为0,进口全是液态水。
7.2 outlet边界设置
选择outlet,左下角Phase选择mixture,设置为
Pressure outlet。单击Edit...,弹出如下页面
Gauge Total Pressure输入95000,
Specification Method选择K and Epsilon
Turbulent Kinetic Energy输入0.02
Turbulent Dissipation Rate输入1,
单击Apply
outlet下的Phase选择vapor,设置回流蒸汽体积分数为0。
注:回流设置只有在流动出现回流时才会生效
7.3 axis边界设置
选择axis,左下角Phase选择mixture,Type设置为axis,此边界为旋转轴
7.4操作条件设置
在边界条件设置界面下方,单击Operating Conditions,弹出如下界面。将操作压力设置为0
8. 求解方法
8.1 求解方法
Solution-Solution Methods
Pressure-Velocity Coupling-Scheme选择Coupled,
Pressure离散格式选择PRESTO!
Momentum和Volume Fraction选择QUICK
Turbulent Kinetic Energy 和Turbulent Dissipation Rate选择一阶迎风格式
勾选Pseudo Transient和High Order Term Relaxation.
8.2 求解控制
Solution-Solution Controls
Volume Fraction设置为0.3,其他保持默认
8.3 残差设置
将continuity, x-velocity, y-velocity, k,和 epsilon残差设置为1e-05
9. 初始化
选择Hybrid Initialization
单击More Settings...
勾选Use Specified Initial Pressure on Inlets,inlet边界将被初始化为设置的进口压力。相当于指定了混合初始化的部分数值,有利于收敛。
10. 计算设置
设置计算步长400步
11. 后处理
11.1 体积分数云图
11.2 静压云图
11.3 湍动能云图
为了方便大家学习交流,我创建了一个QQ群:975634031,大家可以在其中讨论相关的问题,同时我会将所有文章的源文件都放到QQ群中,还会放一些其它的学习文件。欢迎大家加入。
链接:https://pan.baidu.com/s/14tDan8qebU-tKMQE6klcgA
提取码:ffn8
工程师必备
- 项目客服
- 培训客服
- 平台客服
TOP




















