ABAQUS橡胶工业中有限元计算问题过盈配合
摘要:本文分析了过盈配合的有限元计算时用到超弹性本构时可压缩性对计算结果的影响情况,得到在过盈配合中必须考虑这种可压缩性的结论并分析考虑可压缩性的原因。
1、引言
过盈配合是橡胶工业中的一种常见的配合方式。橡胶为超弹性材料,有限元计算中通常假定为不可压或者几乎不可压。本文首先给出一种不可压橡胶模型过盈配合的理论解,并与ABAQUS 计算解进行比较。进一步本文探讨过盈配合中假定橡胶不可压时遇到的问题, 提出处理过盈配合中橡胶计算的方法。
2、可压模型理论解与 ABAQUS 数值解的比较
2.1、理论解
理论解模型如图 1,内层为钢,中间不可压橡胶,最外层为钢给出橡胶和橡胶之间的过盈量求整个结构的应力应变状态假设平面应变状态。
本构方程:
对于钢:
对于橡胶:
2.1 材料性质:
钢:E=210000v=0.3橡胶:C10=0.461312, C20=0.01752, C30=8.8e-05 ,其余为 0,(三次多项式模型,材料不可压缩)
2.2.2 几何特性
如图 2 所示, R59.50 为内层钢的半径和中间层橡胶的内径, R73.00 为中间层橡胶的外径,R71.10 为外层钢的内径, R80.00 为外层钢的外径。
图 2 不可压模型算例几何特征
理论解与计算解的比较(理论解由 Maple 计算得出)
表 1 理论解与 ABAQUS 解的比较
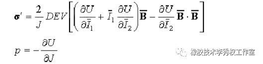
3、可压缩模型
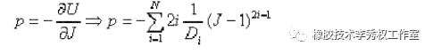
橡胶的应变能采用多项式模型时,在静水压力荷载下 p 与 J 的关系如下:
用 ABAQUS 对这 1-4 组系数进行评估:
图 3 不同系数对应的橡胶静水压力下的应力应变关系
将这六种橡胶本构代入第二部分中的算例中进行计算结果如下:
图 4 第 6 组系数对应的位移图图 5 第 1 组系数对应的位移图
由图 4 和图 5 容易看到这两组系数对应的位移差异非常大。
表 3. 不同系数对过盈配合的影响
4、结论
由以上分析可以看到橡胶的可压缩性在过盈配合中起到的作用是非常大的。
例如,使用初始 Poisson's Ratio 为 0.499 时,橡胶相对于钢是非常软的,因为这组系数确定的橡胶的本构模型杨氏模量大约为 3MPa ,体积模量( ABAQUS 对系数的评估给出的结果),而钢的杨氏模量为 210000MPa ,取时。
因此,如果用实验方法来确定橡胶应变能的形式,应对橡胶进行三向应力实验,以确定橡胶应变能中与体积应变有关的各个系数。
参考文献: [1] ABAQUS/Thoery 用户手册 V6.1 HKS.INC 2000(end)
文章来源:橡胶技术李秀权工作室
工程师必备
- 项目客服
- 培训客服
- 平台客服
TOP




















