新论文 | 颗粒材料不确定性量化的随机离散元方法
日前,刘德云博士和律梦泽博士共同撰写的论文 "Uncertainty quantification for granular materials with a stochastic discrete element method" 见刊于国际期刊 Computers & Geotechnics (SCI, JCR Q1, IF: 5.2)。
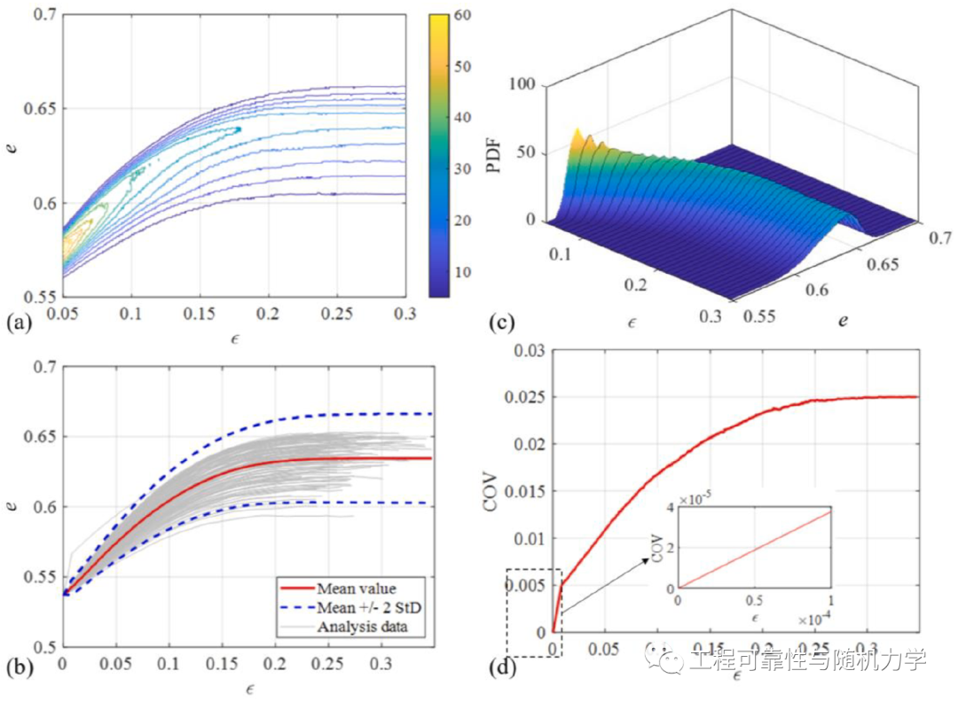
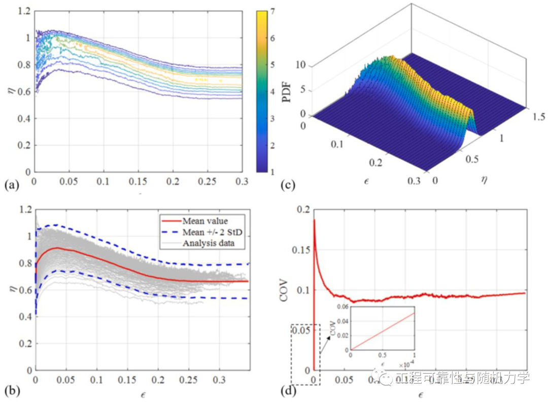
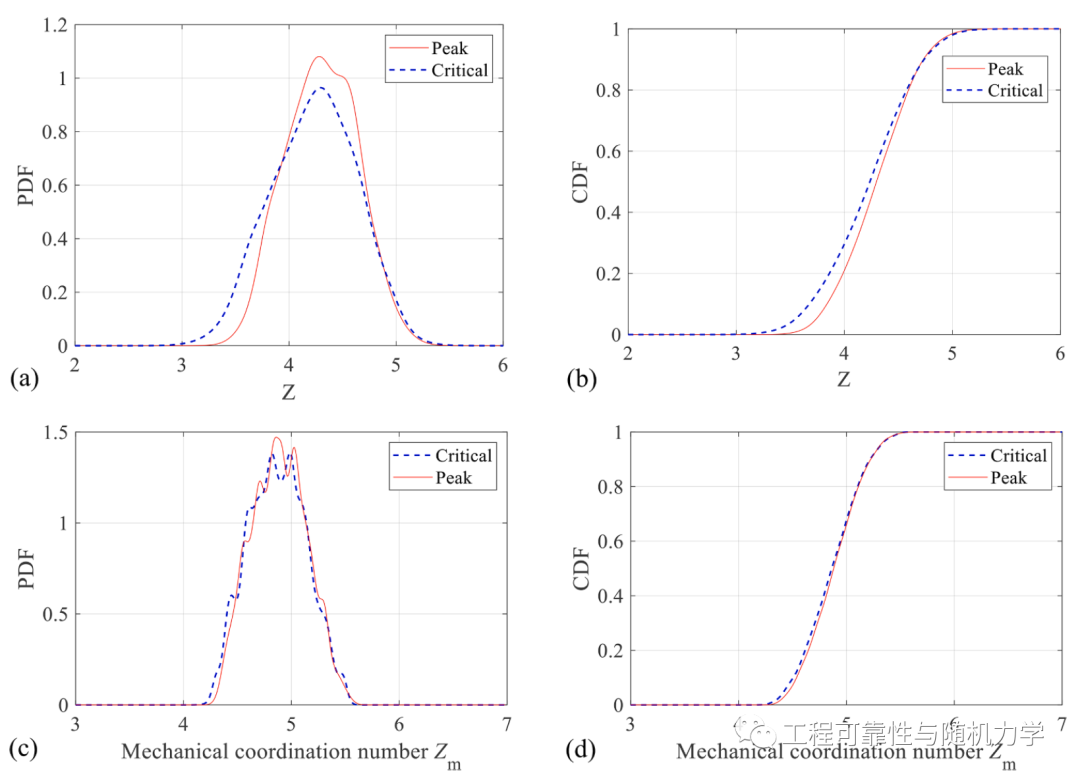
土体等离散颗粒材料存在着不可忽视的随机性,这对其力学行为有着强烈的不确定性影响 (Phoon & Kulhawy 1999, Huang et al. 2010, Li et al. 2015)。然而,囿于颗粒材料确定性离散元精细化建模与分析 (O'Sullivan 2011, Liu et al. 2022, 2023) 的复杂性和高昂计算成本,传统方法难以对其进行随机力学行为的精细化分析。本研究将概率密度演化理论 (Li & Chen 2009, Chen et al. 2016, Li & Wang 2022) 应用于岩土工程领域,与精细化确定性离散元分析技术相结合,提出了一类分析颗粒材料随机力学行为的非侵入式随机离散元方法。
工作概述
作为一个在颗粒材料力学行为研究领域的探索者,我们在这次的研究中,提出了一种新的研究方法—随机离散元方法 (Stochastic Discrete Element Method)。这个方法是针对颗粒材料随机力学行为的一种全新的量化与评价框架。我们首先对实验过程中观测到的参数不确定性进行了深入的表征,进一步通过概率密度演化方法,对颗粒材料的不确定性传播进行了定量分析。此处的不确定性传播,受制于系统物理机制的驱动,我们采用了详尽的离散元分析方法求解相关物理方程。我们的研究目标是确认哪些力学行为的随机性可以在力学建模中暂时忽略,哪些必须得到适当的考虑。因此,本研究的结果将为颗粒材料力学行为以及进一步的工程计算提供有价值的参考。
3. 本研究提出,使用随机离散元方法和统计方法评估关键岩土参数是必要的,这将为了解土体力学行为的全概率特性提供了有力的工具。
我们的研究只是一种尝试,我们期待更多的研究者和我们一同探索,挖掘颗粒材料的更深层次的秘密。
附上这篇论文的分享链接和引用格式、以及作者联系方式,敬请感兴趣的读者朋友们批评指正:
论文分享链接:
https://www.sciencedirect.com/science/article/pii/S0266352X23003178?via%3Dihub
相关参考文献:
[1] Chen JB, Yang JY, Li J, 2016. A GF-discrepancy for point selection in stochastic seismic response analysis of structures with uncertain parameters [J]. Structural Safety, 59: 20-31.
[2] Huang JS, Griffiths DV, Fenton GA, 2010. Probabilistic analysis of coupled soil consolidation [J]. Journal of Geotechnical & Geoenvironmental Engineering, 136 (3): 417-430.
[9] Phoon KK, Kulhawy FH, 1999. Characterization of geotechnical variability [J]. Canadian Geotechnical Journal, 36 (4): 612-624.
文章来源:工程可靠性与随机力学
工程师必备
- 项目客服
- 培训客服
- 平台客服
TOP




















