滚动转子式压缩机转轴振动仿真及试验研究
摘要
Abstract
以搭载9槽6极电机的压缩机为例,研究了变频压缩机运行时与电机极数有关的转轴振动噪声问题。首先,通过对径向电磁力分析,明确了压缩机电机6f径向电磁力的组成;其次,通过仿真分析和试验测试的手段对转轴的振动特性进行分析,进一步指明6f电磁力与转轴弯曲模态共振是导致转轴振动噪声问题的根源;最后,通过对某款变频压缩机的转轴弯曲模态进行仿真分析及优化,降低了转轴振动噪声,改善了压缩机的声品质。
关键词
Keywords
滚动转子式压缩机;转轴;电机极数;弯曲模态;声品质
DOI:10.19784/j.cnki.issn1672-0172.2023.02.001
0 引言
滚动转子式压缩机是家用空调的动力元件,也是其最主要的噪声源之一。在压缩机的噪声中,主要有结构噪声、气流噪声和电机噪声。近年来,随着压缩机电机的高功率密度、小型化发展,电机相关的振动噪声问题逐渐凸显出来。刘士兴[1]利用Ansoft软件建立了9槽6极永磁同步电机的有限元模型,并通过对径向电磁力仿真分析后提出了定子齿削角、转子不均匀气隙、提高定子模态频率、转子分段斜极等降低振动的优化方案。申秀敏[2]以电动汽车驱动用永磁同步电机为研究对象,从定子表面的电磁力波和定子的结构模态两方面入手进行分析,得出电机噪声的产生主要是由于径向电磁力激起了定子结构的共振。齐冀龙、田彦涛[3]等将压缩机的负载模型与永磁同步电机驱动系统结合来模拟压缩机带负载驱动的情况,并在此基础上提出了一种减少电机转矩脉动的方法。综上,当前关于压缩机电机噪声的研究工作主要集中于电磁力的优化计算、定子模态优化与错频设计等方向。但是,对由电磁力与压缩机转轴之间相互作用产生的振动噪声问题的研究却比较少见。
本文以搭载9槽6极电机的压缩机为例,研究了与电机极数有关的转轴振动噪声问题,从机理上解释了相关噪声产生的原因,并通过对转轴弯曲模态进行优化,消除了转轴振动噪声,改善了压缩机声品质。
1 压缩机转轴振动噪声分析
1.1 现象描述
某搭载9槽6极电机的变频压缩机在60 Hz转速下运行时,其十点法声功率试验(图1)所得噪声频谱在315 Hz~400 Hz频段异常突出,且超出相邻频段10 dB以上,结果如图2所示。
图1 十点法声功率试验
图2 噪声信号1/3倍频程
采用西门子LMS数据采集设备对压缩机进行单体近场声源定位测试(如图3),结果如图4所示,可以看出315 Hz~400 Hz频段噪声主要来自电机部位。进一步分析电机区域的振动噪声线谱(如图5~6所示),发现噪声振动峰值均为360 Hz,与电机转速和极数的乘积相等。
图3 近场声源定位测试
图4 315 Hz~400 Hz噪声分布特性
图5 电机部噪声频谱
图6 电机部振动频谱
1.2 电机6f径向电磁力理论分析
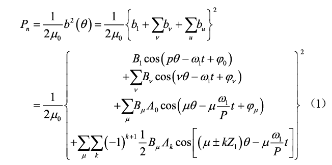
对压缩机电机而言,其径向电磁力由永磁体磁场、电枢电流磁场及槽结构相互作用而产生。根据麦克斯韦定律可得径向电磁力波表达式如下[4-6]:
式中,Pn代表单位面积上的径向电磁力;b1为气隙基波磁场;bν为定子电枢绕组谐波磁场;bu为转子谐波磁场;B1为气隙基波磁场幅值;Bν为定子电枢绕组谐波磁场幅值;Bμ为气隙均匀情况下转子谐波磁场幅值;Λ0为气隙平均磁导;Λk为定子第k次齿谐波磁导;k为齿谐波磁导阶数;μ为转子磁场谐波次数;ν为定子电枢磁场谐波次数;p为极对数;Z1为定子槽数;ω1为电机输入电频率;φ0、φν、φμ均为磁场相位角。
将9槽6极电机相关设计参数带入径向电磁力表达式,可得其6倍频径向电磁力的组成情况如表1所示。
表1 电机6f径向电磁力
由表1可以看出,9槽6极电机的6倍频径向电磁力主要分为6阶6倍频径向电磁力和3阶6倍频径向电磁力两种。
电机的6阶6倍频径向电磁力由表1中的前三项组成,主要为:(1)基波磁场B1自身相互作用产生,由于基波磁场幅值较大,因此该部分为6阶6倍频电磁力的主要来源;(2)转子3次谐波磁场与基波磁场共同作用产生;(3)次数相差2的定子谐波磁场之间相互作用会产生6阶6倍频电磁力,但是由于阶次较高,对应的力波幅值较小,其产生的影响可以忽略不计。
电机的3阶6倍频径向电磁力由表1中的后三项组成,主要为:(1)基波磁场与2阶谐波磁场相互作用产生,该部分为3阶6倍频径向电磁力的主要来源。其中2次谐波磁场有两个来源,一个是定子2次谐波磁动势与平均气隙磁导作用产生,另一个是转子的基波磁动势与定子1阶齿谐波磁导作用产生。(2)转子3次谐波磁场与定子4阶谐波磁场作用产生,该部分径向力的贡献相当微小,可以忽略不计。
综上,电机的6倍频径向电磁力通过气隙磁场作用于压缩机转轴,进而引起转轴的振动噪声问题。
1.3 转轴弯曲模态分析
电机模态频率是电机机械振动设计中的重要参数,在设计中应避免电机的模态频率与径向电磁力的频率一致或接近发生共振[7-8],从而引发振动噪声问题。为此,对压缩机电机的转轴模态进行有限元仿真及试验测试,所得结果如图7~8所示。
图7 转轴弯曲模态振型
图8 转轴固频测试结果
通过对比可以发现:压缩机转轴在368 Hz(仿真结果:364 Hz)存在1阶弯曲模态,这与60 Hz运行频率下电机的6f径向电磁力频率非常接近。因而,初步判断电机转轴的6倍频振动噪声问题由6f径向电磁力与转轴的1阶弯曲模态发生共振导致。
1.4 转轴振动特性分析
1.4.1 转轴振动特性仿真分析
为进一步明确转轴在6f径向电磁力与1阶弯曲模态共振状态下的振动特性,将仿真得到的6f径向电磁力加载到转轴有限元模型上,通过计算得到转轴的振动时间历程曲线(如图9)及轴心轨迹曲线(如图10)。
图9 转轴振动时间历程曲线
图10 转轴轴心轨迹
由图9、图10中可以看出:转轴时域振动信号在1倍频周期信号的基础上叠加了6倍频周期分量,同时转轴的轴心轨迹在空间上呈“七瓣星形”分布。这种现象均与6倍频周期振动的扰动有关。
1.4.2 转轴振动特性试验验证
为验证上述仿真分析的准确性,本文将压缩机曲轴主轴段加长以便主轴段高出定子,同时在主壳体上互相成90度角的两个位置布放电涡流传感器用以测试转轴加长段的运动状态,具体测试方案如图11所示。
图11 测试方案
对压缩机60 Hz运行时转轴的振动信号进行测试,得到转轴振动的时间历程曲线和轴心轨迹曲线如图12~13所示。
图12 转轴振动时间历程测试结果
图13 轴心轨迹测试结果
通过对比可以看出:转轴振动时域信号及轴心轨迹试验测试结果与仿真结果一致,因而确认6f径向电磁力与弯曲模态共振是导致转轴振动噪声的原因。
2 压缩机转轴振动噪声优化试验验证
前述分析已明确电机6f径向电磁力与转轴弯曲模态共振是导致压缩机转轴异常振动噪声的主要原因。为了将转轴弯曲模态与电机6f径向电磁力错开,通过在转轴上部位置增设一个轴承形成双支撑结构,具体如图14所示。
图14 优化前后结构示意图对比
2.1 双支撑结构弯曲模态分析
对采用双支撑结构的转轴模态进行有限元仿真及试验测试,所得结果如图15~16所示。通过对比可以看出:采用双支撑结构后,压缩机转轴的1阶弯曲模态振型由悬臂端弯曲变为两个支撑位置之间弯曲且模态频率提升到1268 Hz,远高于60 Hz下电机6f径向电磁力频率(360 Hz),达到较好的错频设计效果。
图15 双支撑结构转轴弯曲模态振型
图16 双支撑结构转轴固有频率测试结果
2.2 双支撑结构改善效果验证
基于上述双支撑结构组装压缩机,验证其对转轴6f振动噪声问题的改善效果,所得结果如图17~18所示。
图17 优化前后电机部振动对比
图18 优化前后噪声信号1/3倍频程
当采用双支撑结构后,电机部6f振动幅值由4.1 m/s2下降到0.7m/s2,降幅高达83%以上。同时,压缩机噪声1/3倍频程在315 Hz~400 Hz频段下降17.0 dB以上,主观听感改善明显。
3 结论
本文通过对9槽6极电机深入研究发现,变频压缩机运行时产生与电机极数有关的转轴振动噪声的根本原因在于:电机6倍频径向电磁力与转轴的弯曲模态发生共振。通过为该压缩机设计双支撑结构,使转轴的固有频率远高于电机的6倍频径向电磁力,最终使压缩机在315 Hz~400 Hz频段的噪声下降17.0 dB以上,主观听感改善明显,达到了改善声品质的目的。
参考文献
[1] 刘士兴. 压缩机永磁同步电机振动降低方案[J]. 国内外机电一体化技术, 2016(02): 48-55.
[2] 申秀敏, 王勇, 李彬. 车用永磁同步电机电磁噪声分析研究[J]. 声学技术, 2012, 31(06): 589-592.
[3] 齐冀龙, 田彦涛, 龚依民, 等. 压缩机用永磁同步电机减振降噪方案[J]. 控制工程, 2009, 16(S3): 86-88.
[4] 陈永校. 电机噪声的分析和控制[M]. 杭州: 浙江大学出版社, 1987.
[5] 谭建成. 永磁无刷直流电机技术[M]. 北京: 机械工业出版社, 2011.
[6] 罗科, 吴双龙, 任超, 等. 电动汽车永磁同步电机电磁噪声分析及控制[J]. 电气传动, 2022, 52(10): 15-20.
[7] Lee S H, Hong J P, Hwang S M, et al. Optimal Design for Noise Reduction in Interior Permanent-Magnet Motor[J]. IEEE Transactions on Industry Applications, 2009, 45(06): 1954-1960.
[8] 吴建华. 基于物理模型开关磁阻电机定子模态和固有频率的研究[J]. 中国电机工程学报, 2004(08): 112-117.
[9] 张德金, 江波, 邱小华. 变频空调压缩机电机的振动噪声优化研究[J]. 家电科技, 2022(04): 16-19.
(责任编辑:张晏榕)
文章来源:家电科技期刊
工程师必备
- 项目客服
- 培训客服
- 平台客服
TOP




















