填料增强有机硅橡胶基体及界面的特性研究
1
介绍
二氧化硅填充的硅橡胶(SFSRs)可以在广泛的温度和时间范围内保持宏观性能,使其成为许多领域的理想选择。针对高分子基纳米复合材料界面结构演化的获取难题,设计了共混氘代聚硅氧烷的填充硅橡胶体系。利用小角X射线散射(SAXS)、小角中子散射(SANS)、电镜等手段,获取了有无氘代链的复合材料中多层级网络结构信息基础。其中,Xenocs的小角X射线散射仪发挥了重要作用。
2
测试和结果
以氢化聚甲基乙烯基硅氧烷(H-PMVS, XHG-110;浙江新安化工集团有限公司有限公司)为橡胶基体。其平均分子量(Mw)约为6.5×105g/mol,乙烯基含量约为0.23 mol%。气相法二氧化硅(A200;Evonik-Degussa AG,德国)直径约为10 nm,用作填料。通过N2吸附测定的比表面积约为200 m2g-1。所用氚化聚二甲基硅氧烷(D-PDMS;Polymer Source)的Mn、Mw和Mw/Mn分别为81.5 ×103g/mol、132.0 ×103 g/mol和1.6。8phr(parts per hundred rubber)羟基硅油(GY-209-3,中国晨光化工研究院)作为偶联剂和结构控制剂。指定了4种样品,即0phr二氧化硅的H-PMVS和D/H混合橡胶(5 wt% D-PDMS),以及50phr二氧化硅的H-PMVS和D/H混合橡胶。指定4个样品,即0 phr二氧化硅在H-PMVS和D/H混合橡胶中(5 wt% D-PDMS),以及50 phr二氧化硅在H-PMVS和D/H混合橡胶中。在105℃的扭矩流变仪内混合器中混合30分钟。混合物在室温下保存2周以达到充分的吸附。然后在室温下向混合物中加入3 phr过氧化二异丙苯(DCP;国药集团化学试剂有限公司,中国)作为自由基硫化剂,并在内部混合器中混合15分钟。最后,在160℃下硫化20 min,得到4个样品,即未填充H-PMVS橡胶(0H)、未填充D/H混合橡胶(0D)、填充H-PMVS橡胶(50H)和填充D/H混合橡胶(50D)。
SAXS测量在Xeuss 2.0 X射线装置(Xenocs,法国),配备MetalJet-D2(Excillum,Sweden)X射线源上进行。X射线波长(λ)为0.134 nm。使用了6.40 m和1.22 m的两个不同的SDD。使用Pilatus3R 1 M探测器(像素尺寸=172*172 μm2,DECTRIS,瑞士)采集SAXS图谱。
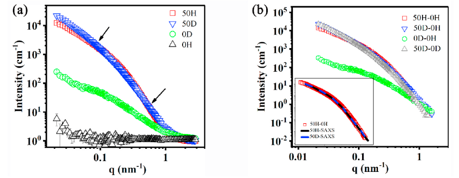
图 1a 显示了硫化 SFSR 的一维 SANS 图。0H在整个q范围内显示出1.1 cm-1左右的恒定强度,这是典型的高 H含量材料的非相干散射[1]。0D的强度主要来自于D-PDMS和H-PMVS之间的对比度(ΔSLD)。由于二氧化硅和H基质之间存在明显的 "天然"中子对比,50H显示出很强的强度。有趣的是,与50H相比,50D的SANS曲线的q依赖性不同。如图1a中箭头所示,两条曲线在0.10 nm-1和0.61 nm-1左右有两个交叉点。我们使用的方法是扣除基体的背景,特别是非相干散射,并尝试从多组分复合材料中获得信息,如50D,它由H-PMVS、D-PDMS和分形材料组成,其中分形层包括其自身作为子单元。图1b为扣除0H和0D的比例(体积分数)背景后的SANS曲线。有趣的是,在低q值区域,50D-0D的曲线与50D-0H的曲线非常吻合。而在高q值区域,50D-0D与50H-0H的重合度更高,并且其强度衰减(斜率)比50D-0H更快。此外,50D和50H的SAXS图谱与50H-0H的SANS图谱重合,如图1b插图部分所示。这表明50H和50D的网络分布是相同的,而橡胶网络在空间上是不均匀的。此外,文章中还使用SEM技术对材料的结构进行了验证。
图1 (a) 一系列硫化硅橡胶的一维 SANS 图谱。(b) 50D和50H的SAXS图谱;扣除相应的0H 和 0D 比例背景后的一维曲线。开点和黑色实线分别代表实验数据和拟合结果。带数字的短黑线表示幂律。
3
结论
在此文章中,利用小角X射线散射(SAXS)、小角中子散射(SANS)、电镜等方法研究了填充硅橡胶材料,获取了有无氘代链的复合材料中多层级网络结构信息。有无氘代链的复合材料SAXS曲线完全一致,并与不含氘代链样的SANS曲线重合。证实了二者的填料网络分布是一致的,并证实了含氘代链样SANS曲线小q部分强度增强的确来源于包裹界面结合胶层的填料聚集体的贡献。实现了我们利用SANS更直观地观察应变场下界面结合胶的结构演化信息的设计目标。为进一步结合原位SANS、原位SAXS 等技术,建立本构模型、关联硅橡胶材料多层级结构演化与宏观性能响应、Mullins效应结构机理等研究和认识打下了坚实基础。
Key Laboratory of Neutron Physics and Institute of Nuclear Physics and Chemistry, China Academy of Engineering Physics, Mianyang, 621999, China
参考文献:
[1] Shui Y, Huang L, Wei C, Chen J, Song L, Sun G, et al. Intrinsic properties of the matrix andinterface of filler reinforced silicone rubber: An in situ Rheo-SANS and constitutive model study. Composites Communications 2021;23:100547.
文章来源:Xenocs China
工程师必备
- 项目客服
- 培训客服
- 平台客服
TOP




















