SYNOPSYS 光学设计软件课程三十七:自动查找和更改镜头结构
2023年9月6日 09:21在本课程中,我们将展示一个具有挑战性的问题,然后利用这些工具,在短时间内,找到优秀的设计。我们将使用 DSEARCH 来获取初始结构,然后使用其他功能来修改镜头结构,提高其性能。
(在本课中,我们将使用模拟退火功能进行搜索和优化,因为它通常会返回最佳结果。但是,由于流程的随机性,该功能并不总是返回相同的结果,因此如果运行这个练习本身,结果可能会有所不同。但整体质量大致相同。)
根据下面要求设计一个广角目镜。
视场角:90 度。
出瞳距:15 毫米或以上
望远镜目标的 F 数: F/8。
可见光谱: C、d、F 夫琅和费谱线。
0.58756 微米的光程差 校正在 d 光的 ¼ 波长内或更好
C(0.6563微米)和 F(0.4876 um) 光程差校正在½波长内或更好用
眼点处的光瞳像差不大于 1/2 mm。
一个内部视场光阑,其中子午像差必须不大于在局部F /number光束中艾里斑的两倍。
到望远镜物镜的距离 2000 mm。
目镜必须不超过 10 个元件。目镜总长度不超过200毫米。
在这里我们将使用计算机来完成它的工作,设计师协助指导。
我们从零开始,使用 DSEARCH 让计算机自行设计一个初始结构。这个程序的输入如下所示。读者可参阅 SYNOPSYS 用户手册以了解有关格式的描述。
LOGTIMECORE 14DSEARCH 5 QUIETSYSTEMID EYEPIECE EXAMPLEOBD 1.0E9 45 1.27UNI MMWAVL CDFWAP 1ENDGOALSELEMENTS 9TOTL 200 .01BACK 0 0FNUM 8.0 10ASTART 10THSTART 10RSTART 400RT 0.0NPASS 80DELAY OFFANNEAL 100 25 QSNAP 10TOPDSTOP FIRSTSTOP FREEQUICK 50 100FOV 0 .3 .6 .75 .9 1. ! 校正6个视场点FWT 3 1 1 1 1 1ENDSPECIAL AANTACA 50 1 1ADT 10 .1 1M 15 1 A P YA 1 0 0 0 1 ! 控制眼距M -.008 4 A P HH 1 ! 将光瞄准物的右侧M -.004 4 A P HH .5 ! 控制光瞳像差M -.0064 4 A P HH .8M 0 1 A P YA 1S GIHTENDGOTIME
运行此命令,当搜索完成时,程序将显示它找到的 10 个最佳配置的结构。在 DSEARCH 上对该镜头进行优化 MACro 并模拟退火后,镜头非常好,如下图所示。
DSEARCH 返回的最佳设计,优化和退火
该图显示了波前差,均小于 1/4 波长。到现在为止还挺好。但是,还必须观察并纠正这些广角目镜中的光瞳像差。如果这些像差太大,当用户扫描视场时,视场的一部分会变黑。我们必须进行检查。
准备一个新的 MACro 如下:
STO 9 CHG NOP 18 TH 2000 19 YMT 20 END STEPS = 100 PLOT YA ON 19 FOR HBAR =0 TO 1 GET 9
并运行它。这将进行下列工作:
1.去除表面18的YMT求解 (通过NOP,去除所有的求解)。
2.将表面19放置在距离为2000毫米的位置。这将模拟在该距离处的望远镜物镜。
3.将YMT求解分配到表面19,然后聚焦于表面20。
4.声明表面20。
5.绘制一幅在表面19上的主光线截距图。如果光线都落在表面19的中心附近,像差就会得到控制。
运行此 MACro,您会看到物体处的光瞳像差,如下所示。F / 8,在 2000mm 的距离处,物镜的直径将为 250mm。因此,6 毫米的主光线误差仅为物镜尺寸的 2.4% 左右,我们允许在 2.54 毫米的入瞳上存在约1/2毫米像差,或约 20%的像差,因此我们判断这种修正程度令人满意。然而,这并不是没有代价的; SPECIAL AANT 部分的 HH 目标对任何表现出大的光瞳像差的解进行了控制。您可以随意调整这些目标的权重,根据您的喜好平衡所有误差。
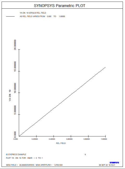
在命令窗口中输入 PLOT YA ON 19 FOR HBAR = 0 TO 1
为目镜计算的物镜上的光瞳像差
目镜已经处于衍射极限,但尚未完成,因为我们没有控制在视场光阑处的图像质量。
我们必须控制它 - 但是镜头还没有视场光阑。在 WorkSheet 中,单击“添加表面”按钮,如下所示
然后单击曲面 3 和 4 之间的轴。如图所示,添加表面
带有附加表面的镜头
现在在 WS 编辑窗格中输入 5 FLAG
并点击更新。现在您可以在 AANT 文件中使用该名称引用该表面。编辑 DSEARCH 为您生成的 MACro。
PANT VY 0 YP1 VLIST RD ALL VLIST TH ALL VLIST GLM ALL END AANT P AEC 3 1 1 ACM 3 1 1 ACC GTR 0 2 4 P 1 0 FLAG GTR 0 2 4 1 1 0 FLAG GTR 0 2 4 3 1 0 FLAG M 0 10 A 1 YA 1 0 0 0 FLAG S 3 YA 1 0 0 0 FLAG M 0.125000E+00 0.100000E+02 A CONST 1.0 / DIV FNUM GSR 0.000000 3.000000 4 M 0.000000 GNR 0.000000 1.000000 4 M 0.300000 GNR 0.000000 1.000000 4 M 0.600000 GNR 0.000000 1.000000 4 M 0.750000 GNR 0.000000 1.000000 4 M 0.900000 GNR 0.000000 1.000000 4 M 1.000000 GSO 0.000000 0.281753 4 M 0.000000 GNO 0.000000 0.093918 4 M 0.300000 GNO 0.000000 0.093918 4 M 0.600000 GNO 0.000000 0.093918 4 M 0.750000 GNO 0.000000 0.093918 4 M 0.900000 GNO 0.000000 0.093918 4 M 1.000000 M 0.200000E+03 0.100000E-01 A TOTLACA 50 1 1 M 15 1 A P YA 1 0 0 0 1 ! 控制眼距 M -.01 5 A P HH 1 M -.005 5 A P HH .5 ! 控制光瞳像差 M -.008 5 A P HH .8 M 0 1 A P YA 1 ! 控制畸变 S GIHT END SNAP/DAMP 1 SYNOPSYS 80
镜头在增加一个透镜之前,优化视场光阑
是时候运行自动元件插入功能了。在 PANT 命令之前,添加如下命令行
AEI 6 1 123 0 0 1 0 0
再次运行 MACro。该程序在前端附近添加了一个火石玻璃元件,像更好了。注释掉 AEI 命令行,再次优化,然后模拟退火。评价函数降低了。
镜头通过添加新镜片后重新优化
你还必须注意像这样的广角设计中的中间视场点。运行 PAD 扫描,您会看到校正的像差仍然低于 1/4 波长。
创建一个检查点并输入 MRG 以打开 Real Glass 菜单。选择 Ohara 目录,玻璃库 6,安静,SORT,然后单击 OK。
让我们来看看畸变。输入 GDIS 21 G. 基本没有畸变。
最终设计的畸变图
现在我们必须检查在视场光阑处图像的校正。制作一个检查点并输入
CHG 7 MXSF END
这会截断表面 11 处的镜头(它是暂时的,因此我们可以在视场光阑处评估图像)。只有 TFAN 会影响目视光阑处的清晰度。
使用光谱向导模拟 10 个波长,可见光谱,强光。然后打开图像工具菜单(MIT),选择 0.1 mm 的参考尺寸,相干效果,HBAR = 1 的点光源,多波长,然后单击处理。
MIT 对话框,带有视场光阑边缘上的点的图像。看起来很清晰。
实际上,视场光阑处的弥散斑接近于 Y 方向上的衍射极限。恢复检查点,以便评估最终图像。
这个镜头似乎符合我们的每一个要求。要进行验证,请运行 Spectrum Wizard(MSW)以定义可见光谱间隔的 10 个波长,然后运行 OFPSPRD 功能以显示视场上的衍射图案。(使用 MPF 对话框;选择显示视觉外观, 放大 4)结果如下所示。
这个目镜将产生一个无畸变的像。对光瞳像差的检查显示,在视场中光瞳的偏离小于允许的 1/2 毫米。
DSEARCH 可以在几秒钟内探索设计树的数百个分支,使用不同的输入将探索其他分支。对于设计空间的研究,这是一个可以使用的工具。
这节课我们讲了好几次;有时结果并不像这个那么好,在一种情况下,我们只有9个元件的透镜几乎和这个 10 个元件的透镜一样好。DSEARCH 可以在几秒钟内探索设计树的数百个分支,使用稍微不同的输入将探索其他分支。对于设计空间的研究,这是一个好用的工具。
新用户可能想知道为什么本课要求物方类型 OBD 并激活 WAP 1 选项。对于一些光学器件,在设计这样的目镜时,就是所谓的“Ftheta”镜头。在普通的相机镜头中,人们希望像高与物高成比例;那么没有畸变。但是这在目镜中是行不通的,因为目镜需要物和像的角度成比例,而不是高度成比例。OBD 指定物体角度(此处为 45 度,从眼点追踪),然后视场参数 HBAR 也指归一化角度,也不是高度。当纠正畸变时,角度是成比例的,并且视场星点之间的明显角度间隔是恒定的,无论它们出现在视场中的哪个位置,正如人们所期望的那样。由于角度放大率在视场上是恒定的,根据拉格朗日定律,入射光束(在眼睛处)的直径也是恒定的。WAP 1 选项负责这一点。
我们从这节课中学到了什么?很明显,数值方法是有效的。经典的设计师将在这样的设计上工作很多天,如果他们成功,他们会为结果感到自豪。他们将对哪些元件纠正哪些像差等有所了解。另一方面,本课中使用的数值工具将在很短的时间内产生出色的设计。如果你的目标是以最低的成本获得产品,不管它是如何工作的,那么数值方法显然是最有效的。如果您想知道它是如何工作的,请查看第三个 CPLOT 功能。
工程师必备
- 项目客服
- 培训客服
- 平台客服
TOP




















