COMSOL这种的究竟是谁在学?
2023年9月7日 11:40文献分享
1
前言概述
随着对太阳能的需求不断增长,成本和可持续性在研究和工业中发挥着重要作用。黄铜矿,如铜铟镓二硒(CIGSe),具有可调的带隙和高的吸收系数,是有前途的薄膜技术之一。
来自杜伊斯堡大学的学者利用COMSOL Multiphysics建立了铜铟镓二硒化(CIGSe)太阳能电池的光电模型,该模型具有多维模拟能力,并应用于超薄(500 nm吸收体厚度)太阳能电池。
首先,给出了建模方法。特别关注背触点材料、界面状态和缺陷应用及其对电流-电压(J-V)特性的影响。为了解决背接触是肖特基接触还是欧姆接触,给出了肖特基势垒高度、复合速度和界面状态的影响。
然后,研究了在吸收器背面的受体缺陷梯度和在p-n结处的施主缺陷密度分布的附加应用。讨论了这些参数调整的结果,并给出了趋势,使实验J-V曲线能够快速拟合。
最后,将实验结果与氧化铟锡和Mo背接触的J-V曲线进行了比较,并讨论了拟合过程中遇到的问题。
相关文章以“Realistic Multidimensional Optoelectrical Modeling Guide for Copper Indium Gallium Diselenide Solar Cells”标题发表在“Solar RRL ”。
内容介绍
2
图1. 由3mm /700 μm玻璃、800/300 nm Mo/ITO、500 nm CIGSe(包括15 nm ODC层、50 nm CdS层、80 nm i-ZnO层和300 nm AZO层)组成的层堆。
图2. 随界面状态变化的CIGSe/背接触界面示意图。
图3. 由于界面态密度不同,在接触前CIGSe的费米能级不同的情况下,CIGSe/后接触结的能带图。a) φm大于CIGSe费米能级时接触的“积累”性质。b) φm等于CIGSe费米能级时触点的“中性”性质。c) φm小于CIGSe费米能级时触点的“耗竭”性质。
图4. 由衰减长度为25nm、100nm和200nm产生的示例受体缺陷密度分布。
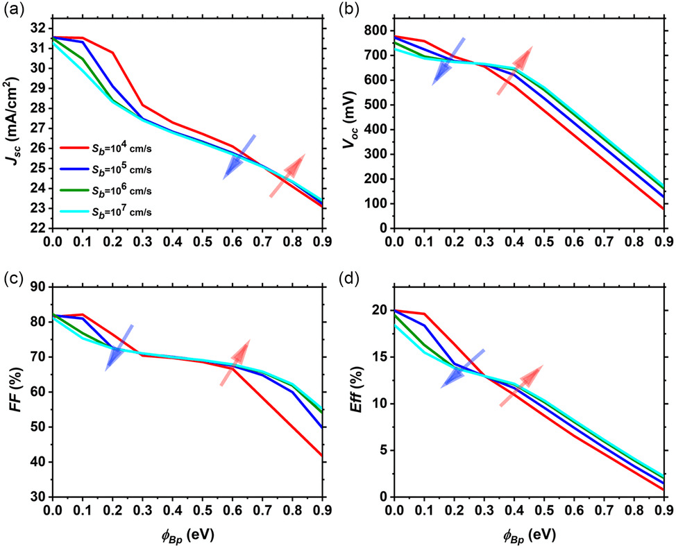
图5.光伏参数随孔势垒高度φBp和背表面复合速度Sb的变化规律。
图6. 当a) φ0 = 0.2 Eg和b) φ0 = 0.8 Eg时,考虑Di从0到1014 cm−2,计算出孔势垒高度作为背接触功函数的函数。
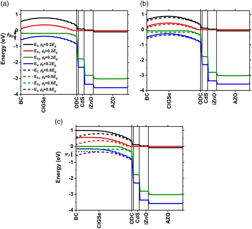
图7. 考虑不同浓度Di的导带(EC)、价带(EV)、电子准费米能级(EFn)和空穴准费米能级(EFp)的CIGSe太阳能电池能带图:a) 1010cm−2,b) 1012cm−2,c) 1014cm−2,两个不同的φ0为0.2 Eg(实线)和0.8 Eg(虚线)(功函数φm = 4.9 EV)。(BC代表背部接触。)
图8. 当功函数为4.9 eV时,a) Jsc和b) Voc随Di和φ0的变化。
图9. 开路电压Voc随a Di、b) φm、c)背级、d) Ndef(A)的变化而变化。绿色虚线表示在另一次扫描中固定的参数值。
图10. 短路电流密度通过改变a)受体缺陷的背级和b) ODC层的Ndef(D)而变化。绿色虚线表示在另一次扫描中固定的参数值。
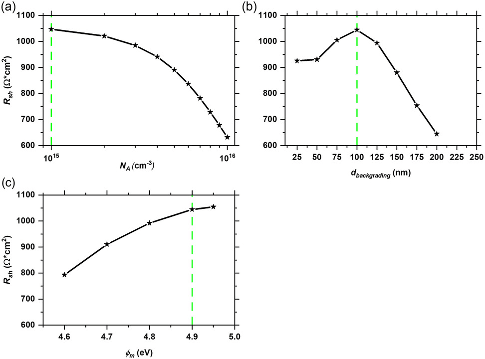
图11. 通过改变a) NA, b)反向级配和c) φm来改变分流电阻Rsh。绿色虚线表示在另一次扫描中固定的参数值。
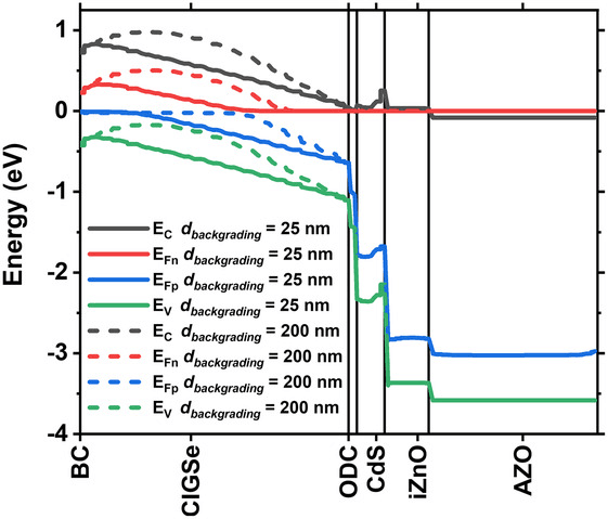
图12. 缺陷密度分布对能带图的影响,如图所示为25和200 nm的背染。这里BC代表背部接触。
图13. 比较有代表性的基准样品中ITO和Mo背接触的最佳电池与模拟电池的J-V曲线。
通过改变Di的φ0、调整后界面的Ndef(A)和后界面的Ndef(D)以及ODC的Ndef(A),该模型可以拟合Mo和ITO背接触的CIGSe太阳电池的J-V特性。对于Mo,界面态降低了势垒;因此,在CIGSe/Mo界面作为一个准欧姆接触。这很好地描述了MoSe2在Mo和CIGSe交界处的存在。无论CIGSe/ITO界面态密度如何,较高的φ0只会引起空穴势垒高度的轻微变化;因此,在ITO和CIGSe的界面处,肖特基样接触仍然存在。
结果表明,Voc对Di、Ndef(A)、dbackgrading及φm均有依赖性。Di对Voc的影响较小,而φm和Ndef(A)的影响显著。衰减长度增加Voc后退达100 nm,然后饱和。根据背触点材料固定φm,通过调整缺陷和分级参数来调整Voc,使ITO和Mo实验结果相匹配。Voc作为φBp和Sb的函数在表征CIGSe/back接触行为中起决定性作用。我们发现,当势垒高度低于0.25eV时,Voc随表面复合速度的增加而降低,而当势垒高度高于0.25eV时,Voc的下降趋势转为上升趋势。这种关键作用源于电荷分布随表面复合速度的变化。
不同的缺陷分布对Jsc也有影响。特别是靠近p-n结的Ndef(D)表现出主要的影响。此外,通过增加底泥,Jsc降低,同时也影响Voc和Rsh。由于孔洞扩散到背触点的密度较低,孔洞阻挡高度的增加导致Jsc降低。此外,表面复合速度作为表示CIGSe中复合中心数量的一个组成部分,对Jsc有不利影响。此外,ODC内部靠近cd接口的Ndef(D)对Jsc的影响类似于衰减长度,但不影响其他特性。对ODC缺陷的影响主要是由于在p-n结附近有额外的复合中心,它可以湮灭新产生的载流子。
NA、dbackgrading、φm对Rsh有影响。随着CIGSe层掺杂量的增加,分流电阻减小,而对于较大的功函数,分流电阻增大。衰减长度也可以用来提高或降低Rsh。对串联电阻和FF的调整只能通过模拟中的附加接触电阻来实现。
文章来源:COMSOL仿真交流
工程师必备
- 项目客服
- 培训客服
- 平台客服
TOP




















