GTN损伤模型介绍及案例演示
这里介绍内容主要参考文献《On the extension of the Gurson-type porous plasticity models for prediction of ductile fracture under shear-dominated conditions》
GTN模型作为细观损伤最经典的模型广泛应用于金属材料的损伤行为建模,其理论模型起源于1968年的McClintock模型以及RT模型,其中McClintock首次将金属的韧性断裂与微孔洞进行关联起来,并得到了椭圆柱孔洞的扩张表达形式,而Rice和Tracey则通过变分原理推导出了理想刚塑性材料的孔洞扩展表达方程,其中提到了孔洞扩张与应力三轴度和lode参数有关。Gurson在此基础上通过分析有限大基体中微孔洞模型,首次建立了孔洞演化和塑性势的关系,并提出了一套比较完善的损伤本构方程。
Gurson模型相比于传统的Mises模型(塑性变形体积不可压缩)考虑了静水应力和孔洞体积分数的关系,认为最终的宏观断裂是孔洞在塑性变形下体积分数不断增加,以及孔洞之间相互聚集造成的。并给出了响应的屈服方程:
其中q是Mises等效应力,σH是宏观静水应力,σM是基体等效应力,f是孔洞体积分数(f=1材料完全失效,f=0材料完好)。当f=0时模型可以退化为经典的Mises屈服模型。当f逐渐增大时,屈服面逐渐收缩,即材料承载能力随着材料内部的微孔洞生长逐渐降低。
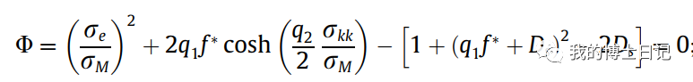
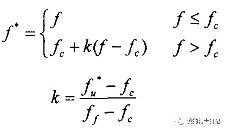
Tvergaard以及Needleman发现原始的Gurson模型无法很好的表现金属材料变形后期材料承载力快速下降的过程,于是引入了三个修正系数q1,q2,q3,以及等效孔洞体积分数的概念,
其中q1,q2,q3可以更好描述孔洞之间的相互作用,K则可以表征孔隙相互聚集后材料承载性能的快速下降过程(K也称为加速系数)fc为孔隙聚集临界体积分数(用来区别性能快速下降前后)ff是最终失效对应的体积分数。
可以看到当f*=f,q1,q2,q3=1时,模型退化为原始的Gurson模型,Tvergaard以及Needleman修正后的模型也被广泛称为GTN模型。需要注意的是,该模型没有考虑损伤的各项异性,因为通常很难对损伤的各项异性进行合理的表征
这里需要说明的是原始GTN模型孔洞体积分数通常由两部分组成,即新孔洞的形成和原始孔洞的生长
通常认为孔洞的生长由宏观塑性应变的静水部分控制
而孔洞的形核由塑性应变(应力)的偏应变(应力)控制,并遵循统计规律,并由形核平均应变,平均应变标准差,形核对应的平均体积分数进行统计表征
GTN模型的提出是细观力学发展最重要的一个里程碑,后续在该模型的基础上不同学者在实验上进行了大量的验证,并在理论上进行了对应的修正。修正主要集中于低应力状态下的剪切修正,微尺寸下的尺寸效应问题,以及孔洞形状演化等方面。这里重点对剪切修正进行说明。
GTN模型虽然有大量和实验证明了其理论的可靠性,但模型在低应力甚至负应力状态下大大低估了损伤的发展,这主要因为原始的GTN模型在进行低应力状态下失效预测时孔洞体积分数无显著变化,即材料性能几乎不发生弱化。这和实验产生了较大差异,尤其是剪切主导的失效行为。因此不同学者针对该现象进行了不同程度的修正,这里选择剪切修正中最为经典的四个进行说明
(1)Xue(2008)修正模型
该模型的修正思路是,进入剪切损伤对应的等效体积分数
通过lode参数区分材料的应力状态,即可以区分不同应力状态下的剪切对于孔洞体积分数的贡献
(2)Nahshon和Hutchinson(2008)修正模型
可以看到这种剪切修正模型的实质是引入了应力的第三不变量的方式引入剪切应力对孔洞演化的影响
(3)Kim Lau Nielsen和Viggo Tvergaard(2010)修正模型
该模型主要对Nahshon和Hutchinson(2008)进行了修改,因为作者研究发现,NH模型虽然可以改善原始GTN模型低应力状态下的损伤预测能力,但该模型高估了中等应力状态下剪切对于损伤的贡献,于是引入了剪切项的修正系数,该系数是应力三轴度相关的
(4)zhou(2014)修正模型
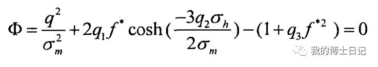
尽管以上模型都将剪切对于损伤的贡献考虑进入了原始的GTN模型,但zhou认为这种修改方式高估了孔洞的发展,因为剪切造成的主要是形状的改变,并有利于孔洞之间的相互聚集,从而造成了低应力状态下的损伤,而非引起体积的膨胀,同时,上述修正模型依然无法描述负应力三轴度下的金属材料损伤行为,因此作者将GTN模型与传统的Lemaitre损伤概念相结合对GTN模型进行修正,修正后GTN的屈服函数表示为
Ds是剪切引起的损伤,作者把原始的体积分数等效为损伤系数,该损伤系数由孔洞损伤和剪切损伤两部分组成,孔洞损伤部分遵循原始的GTN模型,Ds损伤表示为
可以看到该模型的适用性极好,且更加符合剪切损伤的特征,下图是该模型预测纯压缩状态下金属的损伤
以上是GTN模型以及其剪切修正模型对应的介绍
下图展示abaqus内置的GTN模型与编写的GTN模型以及NH修正模型,zhou修正模型的案例
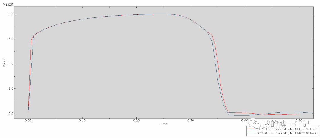
abaqus内置了原始GTN模型可以通过指定材料对应的应力和塑性应变与GTN组合进行模拟,为了方便对比,这里使用自定义的硬化函数Vuhard(swift硬化模型)结合内置GTN与编写的Vumat子程序进行对比,分别比较拉伸试样和剪切试样,所有参数保持相同,区别在于NH-GTN,和zhou-GTN模型包含剪切修正项
初始拉伸试样(拉伸变形30%,材料对应为DP600钢)
Vumat左侧,Vuhard+abqus右侧,对应结果如下(结果几乎一致)
拉伸试样断裂时应力:
拉伸试样应力应变曲线
修正的NH-GTN 模型模拟二维平面应变拉伸以及剪切模型效果(在VUMAT中实现)
平面应变拉伸试样断裂时应力:
3D剪切试样平整端口形貌:
修正的zhou-GTN 模型模拟二维平面应变拉伸以及剪切模型效果(在VUMAT中实现)
平面应变拉伸试样断裂时应力:
3D剪切试样平整端口形貌:
如果文章推荐对你有帮助,欢迎点赞转发和打赏!!!
工程师必备
- 项目客服
- 培训客服
- 平台客服
TOP




















