350兆瓦汽轮机绕组模态试验与故障诊断
引言
随着发电机容量的不断增大,定子绕组端部所受的交变电动力也不断增大,研究表明,绕组端部承受的电磁力是由端部电流与定子及转子端部漏磁场相互作用所产生,是一个为二倍工频的旋转交变电磁力,即频率为100Hz。因此,交变电动力的径向分量是引起绕组端部结构振动的主要激励力。此外,绕组端部的电磁作用力沿圆周呈类似椭圆形分布,所以当绕组端部的共振频率为100Hz左右,且其振型呈椭圆形状时,造成共振的危险性最大。
交变(100Hz)旋转电磁力径向分量分布
定子绕组端部的椭圆振形
当发电机定子绕组槽内固定、端部支撑、绑扎固定结构和工艺不满足要求,特别是当定子绕组端部椭圆形振动频率落入100Hz附近,则可能造成端部与倍频电磁力发生共振,导致定子端部在运行中就可能因共振磨损大而引发事故的发生,往往机组投运后不久就会出现端部绝缘的磨损现象,严重情况下会导致定子绕组松动、绝缘磨损、引水管破裂、漏氢、漏水,甚至造成机组烧毁等事故。
定子断裂的绑绳
出现移位的间隔快及磨损的线棒
另外,出厂时端部结构测试合格的发电机,运行一段时间后可能会发生变化,逐渐发生松动,绕组端部线棒的固有频率和模态振型随之改变,有可能落入双倍工频椭圆振型的范围,此共振现象加重了松动和磨损的程度,导致故障或者事故的发生,因此分析研究定子绕组端部固定结构的振动特性,对保证机组的安全运行具有重要的意义。
定子绕组端部停机检修
模态试验分析
模态是线性时不变结构的固有特性,每阶模态都具有特定的固有频率、阻尼比和模态振型。通过模态测试分析掌握结构在其工作频率范围内各阶主要模态的特性,可预测结构在此频段内的实际振动响应及危害。
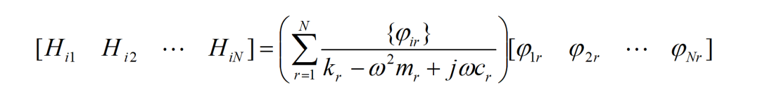
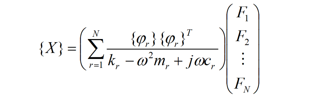
模态试验就是通过试验方法得到机械结构在冲击h(t)作用下的响应H(ω),构造出机械结构特性的频响函数矩阵,然后对结构的模态频率、阻尼及振型进行识别。对某机械结构,在k点作用单位力时,在i点所引起的频率响应,用频响函数表示为Hik=Fk/Xi,根据线性叠加原理可得如下形式的多自由度系统频响关系式:
式中:{X}、[H]、{F}分别为振动响应、频率响应矩阵和激振力,根据动力学理论可推导出:
式中:mr、kr、cr分别为第r阶模态的固有振型、质量、刚度和阻尼。并由以上两式可得到频响函数矩阵表达式:
频响函数矩阵中的任一行为:
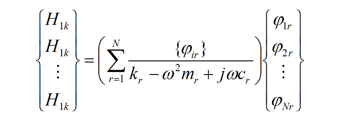
频响函数矩阵中的任一列为:
可见,频响函数[H]中的任一行或任一列包含了结构所有的模态信息,因此,为取得全部模态信息,仅需测量频响函数矩阵中的一行或一列即可。可通过三种方法得到结构频响函数矩阵进而获取模态参数:
一点测量、多点激励SIMO,即可得到频响函数中的一行;
一点激励、多点测量MISO,即可得到频响函数的一列;
也可以进行多点激励、多点响应测量MIMO法。
根据大型汽轮发电机定子绕组模态相关测试标准(如JB/T 8990、GB/T 20140、DL/T 735-2000等),推荐使用锤击法的模态测试方案,即固定多个点测量响应(设置多个参考点,防止遗漏模态信息),而顺序对所有测点激励。
汉航NTS.LAB模态试验平台支持锤击法、激振器法、OMA工作模态等模态测试方法,依据测量到的FRF数据、时域或PSD数据,使用相应的识别方法获取发电机端部绕组的模态参数(频率、阻尼、振型、质量、刚度)。
试验案例
为防止定子线棒在运行过程中因松动造成绝缘磨损等问题,在停机检修期间需要对绕组端部松动和磨损进行外观检查以及相应的振动特性试验工作,其中就包括定子端部绕组的模态试验。
本次试验对象为350MW、额定转速为3000rpm的汽轮发电机定子绕组端部,绕组端部是一个结构复杂、质量和刚度都分散的分布参数非线性弹性系统,不同部位有各自不同的局部多阶模态,既相互影响又存在整体的共振效应。定子绕组端部模态试验是通过测定整体的振型、频率,以判定发电机在运行时是否会发生共振危害。
汽轮发电机参数
在定子绕组端部相同内径的部位布置测点,每隔两个线棒布置一个测点,绕组端部的鼻端布置共计27个测点,如下图所示。
建立27个自由度,测试径向响应,分别在结点4、6、12、17、22、26粘贴加速度传感器作为参考点
发电机定子绕组端部模态试验现场
试验采用锤击法(宽带随机激励)进行测试,即移动力锤激振,多点响应的方法。在激振的同时测量激振力和响应信号,然后对信号进行频响函数分析,将得到的FRF函数矩阵在NTS.LAB模态分析平台中分析,利用多参考点最小二乘复频域法(polyLSCF)及最大似然估计方法(MLE),得到绕组端部的模态参数,具体如下。
表1 定子绕组端部径向模态参
椭圆振型:重根模态
三瓣型
四瓣型
共振区整体振型
由上图振型图可知,椭圆振型在42Hz左右,根据相关标准要求(如GB/T 20140),定子绕组在95-100Hz范围内不存在椭圆振型即符合相关规范要求,表示该结构的设计和运行是合格可靠的。另外,尽管在100Hz附近存在不规则的多瓣振型,由于绕组端部受到的径向激振力分布是椭圆形状,因此也不会在发电机端部形成较大的共振。
总结
发电机定子绕组端部动态特性试验通过测量结构固有频率等模态参数了解发电机实际运行时的振动状态,对发电机结构的设计优化、故障诊断有着不可替代的作用,现已被有关标准列为发电机检查试验的必做项目。
汉航NTS.LAB EMA模态测试分析模块支持多种高精度模态参数识别分析算法,如SDOF单自由度、MDOF多自由度分析、多参考点最小二乘复指数法(polyLSCE)、多参考点最小二乘复频域法(polyLSCF)、MMIF多变量模态指示函数法等,并利用最大似然估计(MLE)剔除噪声数据影响,获得可靠的模态测试结果,为定子绕组的结构设计、故障诊断提供可靠的参考依据。
点击下方蓝色字体“阅读原文”,了解更多信息。
工程师必备
- 项目客服
- 培训客服
- 平台客服
TOP




















