【浸入运动边界算法】一种改进的浸入运动边界算法
引 言
气固多相流系统广泛存在于自然界和工业过程,自然界中如河流过障、泥石流、尘埃悬浮等,工业过程中如飞机获得升力、桥梁振动、循环流化床反应器等均涉及复杂的流固耦合运动。流体与固体间相互作用为非线性的多物理现象,体系的复杂性远超单相流问题,如何准确解析移动的流固边界是正确处理流固耦合的关键。
近年来,格子 Boltzmann 方法(lattice Boltzmann method, LBM)发展较为迅速,其属于介于宏观连续介质模型和微观分子动力学模型之间的介观模型,物理背景清晰;相较于有限差分法、有限体积法、有限元法等常规的计算流体力学方法,LBM 具有求解简单、容易并行等特点,受到国内外学者的广泛关注。目前基于 LBM 研究者们构建了多种描述移动边界的方法,如边界链法(link-bounce-back, LBB)、干颗粒耦合法 ( dry particle coupling method, DPC)和浸入边界法( immersed boundary method, IBM) 等 。
本文在原始权重函数的基础上,提出了一个改进的权重函数,通过引入零固含率处的权重因子多阶导数为 0 作为限制条件,改善中等雷诺数下固体受力的预测精度。通过静止圆柱绕流、Taylor-Couette 流和振动圆柱绕流验证该函数的有效性,表明改进的权重函数可作为一种合理的浸入运动边界方案。
静止圆柱绕流
为了验证权重函数的修正效果,本文采用下述方法,基于不同 b 的权重函数验证不同雷诺数下均匀来流静止圆柱绕流问题,并与文献的结果对比。求解区域如图 1 所示。
图 1 圆柱绕流计算域及边界条件
计算区域为矩形,长和宽分别为 800 和 400,流体运动黏度 ,密度 ,圆柱直径 D =20。计算域左侧为均匀来流入口边界,速度 u = U、v = 0,采用 Zou & He 边界;上下两侧均为周期边界 ;右侧为自由出流边界,采用 Neumann 边界,即∂u/∂x = 0、 ∂v/∂x = 0。获得圆柱的受力后,可通过下式分别计算阻力系数和升力系数:
式中 Fx 和 Fy 分别为流体对圆柱作用力在 x 和 y 方向的分量。
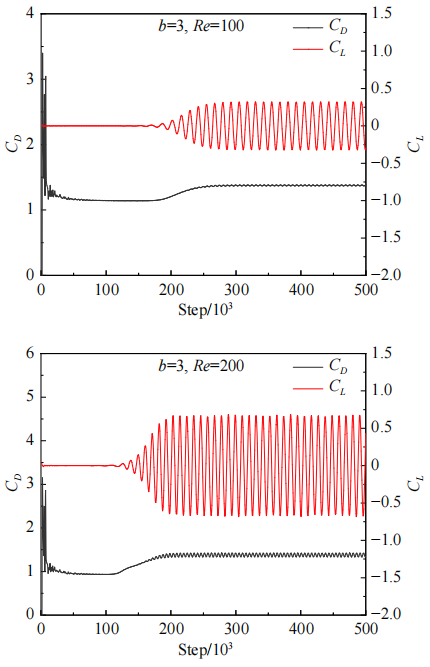
图 2 为 b = 3、Re = 100、200 时,达到动态稳定后圆柱的阻力系数和升力系数随时间的演化曲线,结果均呈现明显的周期性。随着 b 进一步增大,各雷诺数下阻力和升力系数将进一步降低。以上说明在较小雷诺数下公式
具备一定的预测性能,随着雷诺数提高,该公式低估了流固边界中流体组分的作用,需要相应地降低固体权重,提升固体边界的渗透性以增强流体的作用强度。
图 2 b = 3 时,Re = 100、200 对应阻力系数和升力系数随时间的演化
Taylor-Couette 流
二维 Taylor-Couette 流是流体力学中少数存在解析解的流动(仅限层流时),如图 3 所示。当内筒以角速度 旋转,外筒以角速度 旋转时,内外筒间的速度分布为:
式中,R2 为外筒半径, 为内外径之比:γ = R1/R2,r 为该点与圆心的距离。该算例为曲线运动边界主导的流动,可用于检验运动边界的性能。
图 3 Taylor-Couette 流示意图
图 4 为 b = 3 时,改进浸入运动边界计算的流场与精确解对比,不同 下中心区域的流场均与精确解吻合较好。γ= 0.8 时内外筒边界附近与精确解存在偏差,可能是该情况下解析流体的格点数量较少,边界对周边流场产生了扰动。
图 4 b = 3 时,基于改进权重函数得出的不同γ下预测速度与精确解对比
振动圆柱绕流
图 5 展示了动态稳定后圆柱运动到最下端的涡量场,图 5(b、c)中的尾涡分布较为均匀和规则。由图 5(a、d)可以看出:当圆柱振动频率偏离自然涡脱落频率较远时,圆柱后方尾涡将不再对称,振动频率越高,脱落的涡尺寸越大。
图 5 圆柱振动到最下端时尾部涡量图(Re = 100、A/D= 0.25)
图 6 为稳定后,不同振动频率下圆柱升力和阻力系数的随时间演化曲线及升力系数的能量谱结果。由图 6(a)可知,当 k = 0.5 时,CL 曲线中高幅值波和低幅值波交替出现,即拍频现象,能量谱呈现双峰形态,此时升力同时由 fe 和 f0 控制,主控频率为 f0,圆柱处于锁频区间之外;k = 0.9 和 k = 1.1 时,升力系数随时间的演化曲线不再由 f0 控制 ,而是锁定在fe 附近,此时处于锁频区间内。由图 6(d)可知,k =1.5 时,升力系数曲线再次出现拍频现象,主控频率为 fe,处于锁频区间外。
图 6 A/D = 0.25 时,不同振动频率下圆柱阻力系数和升力系数随时间的演化及升力系数的能量谱
!!文章内容转自微信公众号“云数仿真”,更多精彩内容,请前往微信公众号进行关注。
工程师必备
- 项目客服
- 培训客服
- 平台客服
TOP




















