一种基于隔热纺织品(TI-textile)的TENG (TI-TENG)
2024年1月4日 08:57来源 | Nano Energy
00
背景介绍
户外活动对人体健康至关重要,给人类的身心带来诸多益处。一般来说,户外运动爱好者在进行长期徒步旅行或其他体育活动时需要注意各种天气问题(如雪、雨和风)。极端天气条件很容易导致身体不适,体温下降等问题。由于大多数电子可穿戴设备是由传统电池供电的,它们不具有可持续性,并且不方便在户外充电/维护。开发具有自供电传感器的户外可穿戴设备对于解决废弃电池的不可持续性和潜在的环境污染问题非常重要。
在物联网时代,摩擦纳米发电机(TENG)将周围随机、无序、低频的机械能转化为电能,被认为是解决能源供应问题的极具前景的技术一些极端情况或环境中的问题。在TENG的辅助下,自供电的户外可穿戴监控系统可以实现并易于使用,这对于户外爱好者从事长期徒步旅行或体育活动是非常必要的。在过去的几年里,科学家们一直在努力提高TENG的输出性能。
在已报道的可穿戴式TENG中,纺织式TENG可方便地用于人体运动监测和供电,其灵活性、适用性、透气性、可负担性和可规模化生产等优点越来越受到人们的关注。户外服装可以保护人体抵御寒风,但它们的重量和厚度通常会导致长时间户外活动不舒服。因此,在降低功能性户外服装的重量/厚度的同时,提高其保温性能是十分重要的。到目前为止,关于这一点的功能性户外服装的研究还很缺乏,特别是结合纺织品TENG的具有能量收集能力和交互性应用的智能户外服装。
02
成果掠影
近日,中国科学院北京纳米能源与系统研究所王中林院士和孙其君研究员团队展示了一种基于隔热纺织品(TI-textile)的TENG (TI-TENG),它由多个功能层组成,包括关键的摩擦电气化层、镀银尼龙电极、防风外层纺织品和内层纺织品衬里。通过材料改性和结构优化可以提高TI-TENG的摩擦输出性能。制备的TI-TENG被证明具有多功能(例如,隔热和抗菌性能)和智能(例如,传感和能量收集功能)。此外,利用TI-TENG作为自供电可穿戴传感器和人机交互界面,开发了一种智能人体运动监测和户外无线信号传输系统,可在户外活动中一键呼叫紧急救援。TI-Textile的大规模生产也为TENG提供了巨大的商业潜力,为多功能可穿戴设备的自供电传感、能量收集和人机交互提供了新的研究方向。研究成果以“Thermal insulating textile based triboelectric nanogenerator for outdoor wearable sensing and interaction”为题发表于《Nano Energy》。
03
图文导读
图1.TI-TENG的应用场景、结构和性能。(a)保温服的应用场景及组成。(b) TI-TENG的示意图演示。(c, d) TI-Textile的SEM图像。比例尺:1mm和100µm。(e) 去离子水落在TI-Textile表面前后的水滴。(f) TI-Textile批量化生产的照片。(g)各种样品在65℃露天热板上的表面温度变化。(h) I)不同样品放置在手掌上的红外摄像机热像图; II)样品的照片图像。(II) TI-Textile的隔冷性能照片。(j) TI-Textile对金黄色葡萄球菌和大肠杆菌的抑菌性能。(①和②聚酯纤维下的菌落培养,③和④TI-Textile下的菌落培养)。(k)佩戴隔热护带的照片。
图2. TI-TENG的工作原理和输出性能。多层TENG结构示意图:(a)基本的TI-TENG结构;(d)用防风/防水/防雪织物和织物内衬包覆的TI-TENG。多层垂直接触分离方式的工作原理示意图:(b) TI-TENG的基本结构;(e) TI-TENG包覆在防风/防水/防雪织物和织物内衬里。(c)不同接触频率(1 ~ 5 Hz)下,基本结构TI-TENG和防风/防水/防雪织物和织物内衬TI-TENG的ISC、VOC和QSC。
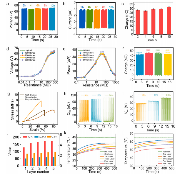
图3. 水洗性,长期稳定性,拉伸性,以及TI-TENG的多层性能。TI-TENG的长时间水洗性能:(a)开路电压,(b)短路电流,(c)转移电荷。不同摩擦次数(原始、1000次、2000次、4000次)下TI-TENG的(d)电压、(e)功率、(f)电流对比。(g) TI-Textile在各方向的应力-应变曲线。不同拉伸条件下(接触分离频率为2hz)的输出特性:(h)转移电荷和(i)开路电压。(j)接触分离频率为1Hz时有多层TI-Textile组成的TI-TENG的ISC、VOC和QSC。TI-Textile在(k)45℃和(l)65℃露天热板上的不同层的表面温度。
图4. 用于生理健康监测的汗液传感器。(a) TI-Textile吸收汗液的过程。(b) 不同浓度NaCl溶液浸泡干燥TI-Textile的EDS图谱,比尺为100µm。(c) 根据浓度增加的动态瞬时电压响应。(d) 用去离子水和各种浓度的NaCl溶液(0.001-1mol/L)浸泡干燥的TI-Textile的输出电压。(e)对浸没在少量和多量汗液中的干燥TI-Textile进行实时监测。(f) TI-Textile浸泡在NaCl溶液干燥过程中表面离子动态变化过程示意图。
图5. 人体生理信号的监测。(a)压力传感器示意图演示。(b)在不同压力下,TI-TENG的电输出。(c) TI-TENG的输出电压作为加载压力变化的函数。(d)TI-TENG对手臂弯曲角度的实时监测,插图表现为不同的运动状态。(e)手腕弯曲30°、45°、60°和90°处的响应输出信号。(f)当测试者抬腿时,在臀部采集的TI-TENG输出信号。(g)将TI-TENG安装在腰部测量腰部运动时的电压响应。(h)手肘弯曲30°、45°、60°、90°和120°的输出信号。(i)膝关节弯曲30°、45°、60°、90°和120°处的响应输出信号。
图6. 户外交互式应用的示范。(a)实时安全监控和智能户外救援系统示意图。(b)意外摔倒时产生的电信号。(c)户外救援系统的具体功能的照片。(d) TI-TENG无线音乐播放系统。(e)手指触摸时的电信号输出。(f)户外音乐播放器通过手指触发TI-TENG。
★ 平台声明
部分素材源自网络,版权归原作者所有。分享目的仅为行业信息传递与交流,不代表本公众号立场和证实其真实性与否。如有不适,请联系我们及时处理。欢迎参与投稿分享!
工程师必备
- 项目客服
- 培训客服
- 平台客服
TOP




















