晶体塑性每日文章推荐(十八)
文章doi:10.1016/j.ijplas.2009.10.004
上一篇推文介绍了基于L2范数最小化计算GND的推文,基于类似的思想可以实现率无关数值模型的构建,作者的创作思想就是利用塑性变形过程中最大能量耗散原理,将单晶屈服问题视作约束优化问题,其中约束就是每一个滑移系统的屈服函数,并将传统率无关晶体塑性模型中的数值奇异问题,通过创建约束条件的组合进行优化分析得到率无关的晶体塑性数值解。该率无关的本构计算方法计算效率相对较高,且数值稳定性很好,与以往研究和实验结果具有良好的一致性。此外也有很多率相关模型使用奇异值分解进行数值求解。
作者的思想
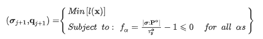
弹塑性问题通常被定义为约束优化问题,旨在寻找给定应变增量的最佳应力张量和内部变量。在这样的问题中,目标函数是基于最大耗散原理定义的,约束是屈服函数。示意图和公式为:
以塑性变形率方程为切入点:
λ为一致性参数
在单晶中,整体塑性变形是多个滑移系统上滑移的结果。在晶体塑性问题中,变形由多个屈服面定义,这些屈服面不平滑相交,屈服函数的数量取决于晶体中滑移系的数量。假设施密德定律对于单晶的塑性变形是有效的,那么对于任何滑移系统,屈服函数可以定义为
引入约束:
在计算该方程过程中经常出现雅可比的非正定性问题(可以采用奇异值分解)同时确定滑移系统开动也存在计算量过大的问题
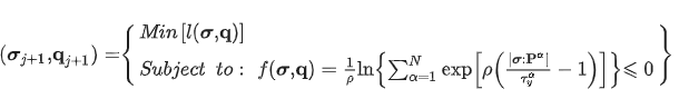
作者这里引入组合约束思想,则原始求解模型转化为:
在此基础上将多个约束转化为等效的一个约束:
h(x)取值为:
移植到所研究的晶体塑性模型中
等效的约束为:
将等效的约束作为单晶的屈服面:
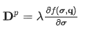
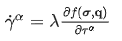
根据流动法则,计算得到塑性变形率
其中剪切应变率
作者所提出的模型对于不同ρ时的屈服面形状如下
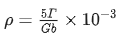
并且根据以往研究金属的层错能对屈服面有影响,因此将ρ与层错能进行关联,其中Γ是材料的 SFE,G是剪切模量,b是伯格斯矢量的大小。
作者的模型在vumat子程序中进行实现,为了与以往文献对比,作者的硬化模型使用方程为:
模拟了fcc-al以及fcc-coppor,材料参数为(ρ=80)
模拟得到的效果
可以看到作者提供的数值模型具有良好的精度,同时大大减少了计算时间,并克服了由于滑移的多重性而导致的奇异性问题。
工程师必备
- 项目客服
- 培训客服
- 平台客服
TOP




















