Ansys Zemax | 探究 OpticStudio 偏振分析功能
2024年3月20日 14:07附件下载
联系工作人员获取附件
概述
OpticStudio有多种分析模拟偏振光学器件的功能。这篇文章介绍了每种功能在建模时的特点和合适的使用环境。
产生偏振光源
所有OpticStudio中的偏振分析都需要定义输入光的偏振态,通常情况下这些分析使用琼斯向量 (Jx, Jy) 来表示X和Y方向上不同起始相位的偏振分量。在OpticStudio中有两种输入光偏振态的方法。第一种是在每个独立的分析功能中设置明确的输入偏振态(Jx, Jy, X/Y起始相位),例如偏振光线追迹 (Polarization Ray Trace) 和偏振光瞳图 (Polarization Pupil Map)。
第二种方法是在系统选项 (System Explorer) > 偏振 (Polarization) 标签下进行定义。这里定义的偏振态将应用于所有包含并勾选了“使用偏振 (Use Polarization) ”选项的分析和计算中。
系统选项对偏振态的定义方法需要将输入的二维琼斯矩阵转换为三维的电场向量 (Ex, Ey, Ez)。如果我们将Jx考虑为电场在S偏振方向的分量,将Jy考虑为电场在P偏振方向的分量,则在没有入射平面的情况下这种定于会变的很模糊。
这表示,如果要定义光线从光源发射沿方向向量K在自由空间中传播时的P和S分量,则需要先定义一个参考基准。在OpticStudio中,您可以使用如下参考:
X轴参考:向量P由K叉乘X决定,向量S由P叉乘K决定(默认选项)
Y轴参考:向量S由Y叉乘K决定,向量P由K叉乘S决定
Z轴参考:向量S由K叉乘Z决定,向量P由K叉乘S决定
需要注意的是:向量S,P和K(传播方向)是相互正交的,如下图所示,它们分别用红色、蓝色和绿色箭头表示:
这种方法可以为您在定义输入偏振态时提供更多选择。默认的入射平面与Z轴垂直,所以传统的S和P的定义方法限制用户无法定义Z轴参考的偏振态。
偏振光瞳图
偏振光瞳图功能是OpticStudio中最实用的一种快速查看光学元件表面偏振态的方法。但需要注意的是,该分析结果和实际情况确实存在细微的偏差,因此在使用该分析结果时请格外注意。
通常情况下,OpticStudio中的计算与时间无关(例如在稳态系统中的一个瞬间)。然而,在偏振光瞳图并不是这样的,它会在笛卡尔坐标图中显示出特定表面处的电场向量 (Ex, Ey) 的端点在一个时间周期内的轨迹。这是由于相位不同造成了偏振椭圆方向不同。对于大多数计算,OpticStudio分析偏振椭圆时是沿时间轴的正向还是反向并不重要,这是因为我们假设系统为稳态系统。在默认设置下,分析计算都是沿时间轴正向的(光线即将入射到特定表面的时候)。
此外,在您定义Jx和Jy的初始相位偏移时,在X-面 (X-Phase) 或Y-面 (Y-Phase) 中输入的正值都会使Jx相对Jy延后。例如,定义X-面为90°且Y-面为0°,这会导致Ex电场分量相对Ey电场分量咽喉90°,如下图所示:
假设 (Jx, Jy) = (0.707, 0.707),则偏振椭圆为顺时针的圆环,我们可以在偏振光瞳图中查看这一结果,如下图所示:
偏振相关介质的种类
在OpticStudio中有多种可以改变输入光偏振态的方法。这些方法引入了偏振相关的表面或材料。下面我们来介绍三种方法并描述它们在通常情况下的应用场景。
琼斯矩阵
琼斯矩阵表面是一个理想的面型并且默认输入光为垂直入射。该表面使用2x2矩阵表示琼斯向量(用来描述电场)如下式所示:
其中A, B, C, D, Ex和Ey均为复值(您可以查看往期公众号文章“如何使用琼斯矩阵表面”了解更多信息)。该矩阵可以通过二维向量描述三维电场但前提假设是默认其传播方向与Z轴重合。因此,电场分量只在XY平面。如果光线确实沿Z轴准直入射系统,则该表面可以提供理想的分析结果,并描述出P和S偏振态的变化及透过率的变化。
OpticStudio也允许在斜入射的情况下使用琼斯矩阵表面,但这种情况下该分析功能只能提供近似结果。并且矩阵无法考虑电场在Z方向上的分量产生的影响,即双折射现象或菲涅尔效应等。
如果使用琼斯矩阵来模拟光延迟器件,则入射光必须垂直于该表面。如果您需要准确计算离轴的相位变化,您需要使用双折射输入 (Birefringent In) 和双折射输出 (Birefringent Out) 表面。
琼斯矩阵可以较好的模拟离轴入射下的起偏器。表面将允许电场在Z方向上传输,并可以像电场X分量和Y分量一样进行模拟。在模拟结果中和向量K平行的分量将被减去,因此电场保持与向量K垂直。如果需要生成一个表面可以改变Ez分量,您可以使用光学镀膜。
光学表面镀膜
OpticStudio允许用户定义实际镀膜或理想镀膜并将这些应用在光学系统上。同时OpticStudio的镀膜数据库包含了大量常用的膜层数据。虽然镀膜可以用于多种不同的应用环境,但本文将只关注镀膜对光线偏振态的影响。
在讨论镀膜的影响之前,我们必须考虑到电场的强度和偏振态是由向量表示的:
其中Ex, Ey, Ez均为复值。电场向量E必须垂直于光线传播的方向向量。在两种介质的边界处,透过率、反射率和电场的相位在P分量和S分量上各不相同。电场的S分量为E在与入射平面垂直的光轴方向上的分量,P分量为E在入射平面上的分量。入射平面包含光线传播向量和表面在入射点处的法向量。需要注意的是:光线在垂直表面入射时,该定义方式会变得模糊。
因此我们可以看出,P和S偏振态的定义与表面相关。如果在表面上添加了镀膜,则光线透过的比例会根据系统设置中偏振的参考方式不同而显著变化。
举例来说,有限距离内的物点发出的光穿过一个镀膜的平面,该平面镀膜只允许P光通过。该物点发出的光线具有初始偏振态Jx=0,Jy=1。当参考轴在X或Y轴中变化时,P光和S光的透过率发生显著变化。这是因为输入的偏振态Jx和Jy在表面上分别平行于全局X轴和全局Y轴。
然而当参考于Z轴时,Jx和Jy跟随全局Z轴旋转变化,因此偏振态没有改变。
因此,在使用镀膜改变光的偏振时,您需要注意输入光参考轴的定义方式。
如您想进行验证,您可以使用Ideal2或表格镀膜(Table Coating)格式文件,对P光和S光自定义透过率的实部和虚部。这些格式的镀膜数据可以非常有效的模拟理想偏振器。此外,您还可以使用优化操作数CODA针对特定偏振数据对镀膜进行优化。
双折射输入/输出
在OpticStudio中模拟双折射材料的方法于琼斯矩阵和表面镀膜不同。如果想要在序列模式下定义双折射元件,您必须在透镜数据编辑器中定义两个表面,即双折射输入表面和双折射输出表面。在这两个表面定义的边界之内,OpticStudio会使用两种材料,一种以双折射材料的寻常折射率来定义,另一种以非寻常折射率定义。
OpticStudio会使用双折射输入面型中定义的材料折射率来定义寻常折射率。随后OpticStudio会在材料名后添加“-E”并在当前加载的材料库中寻找该材料,其折射率会用于定义非寻常折射率。
相比琼斯矩阵,该种方法允许用户计算菲涅尔系数和材料吸收以得到更加精确的透过率结果。用户可以选择单独追迹寻常光和非寻常光或只追迹其中一种并考虑另一种对相位的影响。该计算类型是通过双折射输入/输出中的模式 (Mode Flag) 参数来控制。
使用双折射输入/输出表面模拟双折射现象的唯一限制是它不考虑光线分裂。如果您需要考虑光线分裂,请将系统转换到非序列模式中。
偏振相关表面的应用
在本节中我们会用实例介绍如何在OpticStudio中定义双折射延迟器和光隔离器。
光学延迟器
光学延迟器(也称作波片)可以改变输入光的偏振态。本节中展示了如何构建一个λ/4相位变化的零级延迟器(也称作四分之一波片),该器件可以将输入的线偏光转变为圆偏光。该系统中使用了双折射晶体Quartz和氦氖激光(632.8nm)。
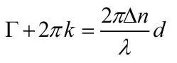
通常情况下,波片引入的延迟可由下式表示:
其中△n表示寻常光和非寻常光的折射率之差,λ表示光的波长,d表示晶体的长度,表示弧度表示的相位延迟,k表示波片的级数。根据该定义式,相对相位变化由于光的2π周期特性不受级数的影响。也就是说,级数较高波片的厚度要大于级数较低的波片,并且更容易受热膨胀的影响,因此会放大离轴光线的相位延迟误差。此外,入射光波长偏离设计波长同样会引入相位延迟误差。
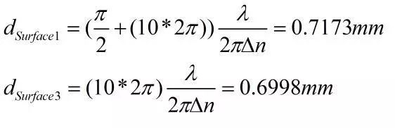
然而在实际情况下,真正的零级波片很少,这是因为晶体的厚度太薄因而很难加工出来。代替的方案是使用两片稍厚一些且晶轴交叉的波片(通常情况下为同一种材料)叠加在一起使用。这种方法虽然不是真正意义上的零级波片,但相对更容易加工,是一种在性能和可加工性之间非常好的折中方案。
为了在OpticStudio中建立该系统结构,透镜数据编辑器中输入的参数如下图所示:
需要注意的是,透镜数据编辑器中定义了一个级数为10的四分之一λ波片(紫色表示),和一个级数为10的零相位延迟波片(绿色表示)。两种波片组合的等效效果为一个零级四分之一波片。两个波片的厚度可由下式进行计算:
如前文提到的,OpticStudio同一时间只计算一束光线,但双折射输入/输出表面允许用户定义寻常光线和非寻常光线。在本系统中,设置模式参数为2或3将提供非常准确的输出结果,因为晶体Quartz并不是双折射特性很强的材料,因此寻常光线和非寻常光线的角度偏差很小。同时,光在双折射晶体中的传播距离很短,因此光线在像面上基本重叠。定义双折射输入/输出面的模式参数为2,设置输入光为45°线偏光。我们可以看到输出光为完美的轴上圆偏振光。这一结果和真正的零级波片基本一致,如下图所示:
然而,随着输入光入射角的增加,等效零级波片逐渐引入相位延迟误差,使输出光的偏振态变为椭圆偏振光。在31.5°的入射角下,等效零级波片的所引入的延迟更接近于半波片而不是四分之一波片。
有时候我们也会想要分析只有寻常光或非寻常光时的结果。使用多重结构可以非常简单快捷的观察不同情况下的分析结果,如下图所示。多重结构操作数PRAM用来调整双折射输入表面的模式参数。结构3中,表面1和3的模式参数设为0(寻常光),因此备注行标注了“O-O”。结构4中表面1和3分别设为0(寻常光)和1(非寻常光),因此备注为“O-E”,其他结构以此类推。
光隔离器
光学隔离器只允许光从一个方向传播。这类器件一般使用磁光效应,例如法拉第 (Faraday) 效应。虽然目前在OpticStudio中没有表面可以模拟这类磁光效应,但我们可以使用琼斯矩阵表面近似模拟一个轴上光学隔离器。
隔离器中的光学材料对于不同角度入射光的影响各不相同。也就是说,对于一个在给定方向传播的线偏光,材料将使光线旋转一定角度β;当以相反方向传播时,材料将使光线旋转角度-β。β由下式定义(单位为弧度):
其中v表示韦尔代常数 (Verdet Constant),该常数用来描述每特斯拉·米的旋转角度的比例。B表示施加在磁光介质上的磁通量。d表示材料的长度(单位米)。
在OpticStudio中,旋转角度可以通过以下琼斯矩阵定义:
然而该方法假设在Z方向上没有电场传播,并且也不会考虑材料本身在Z轴上的分量或额外的离轴传播引入的额外旋转角。
小结
用户在定义输入偏振光时可以选择三种参考方式(X轴、Y轴和Z轴参考)
输入的琼斯偏振态 (Jx, Jy) 将根据不同参考方式转变为三维电场向量 (Ex, Ey, Ez)
在序列模式中有三种定义偏振相关材料的方法:使用琼斯矩阵、光学镀膜和双折射输入/输出表面:
- 双折射输入/输出表面为建模光学延迟器及双折射材料提供了最精确的模型,它可以模拟轴上及离轴入射的情况。
- 表面镀膜也支持计算轴上及离轴情况(Ideal2和表格镀膜数据),但P和S偏振态的定义无法与输入偏振光的参考方式相对应
- 琼斯矩阵只能用于轴上情况;它可以近似的模拟离轴情况下的起偏器,但无法模拟延迟器
有关OpticStudio的偏振分析功能就和大家介绍到这里了,希望本文对您的工作有所帮助!
欢迎扫码添加宇熠工作人员微信
申请进入 Ansys 光学交流群
添加工作人员
点击图片查看培训详情
相关阅读
Ansys Zemax | 手机镜头设计 - 第 1 部分:光学设计
Ansys Zemax | 手机镜头设计 - 第 2 部分:使用 OpticsBuilder 实现光机械封装
Ansys Zemax | 手机镜头设计 - 第 3 部分:使用 STAR 模块和 ZOS-API 进行 STOP 分析
Ansys Lumerical | 针对多模干涉耦合器的仿真设计与优化
Ansys Zemax | 设计衍射光学元件(DOE)和超透镜(metalens)
工程师必备
- 项目客服
- 培训客服
- 平台客服
TOP




















