低率相关性的晶体塑性模型,不同迭代方案计算时间的差异性
浏览:2056 评论:1 收藏:1
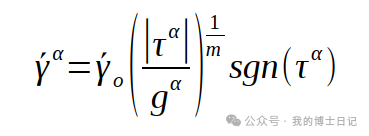
常规的唯象晶体塑性模型的流动方程通常使用幂律形式:
其中m为率相关系数,对于较小的m值,如≤0.01,整体的响应结果被认为接近率无关响应,然而该参数显著影响积分效率,对于不同的迭代方案,其对稳定性的影响也不仅相同,这里尝试进行简单对比,对比指标和总计算增量步数和计算时间(所有程序均使用单核计算):
所有迭代方案使用相同的硬化模型和相同材料参数,并对包含200个晶粒的多晶模型进行20%的拉伸变形模拟。如下图所示:
(1)对于以弹性变形梯度和塑性速度梯度为迭代变量的写法:
计算时间:
增量步数:
(2)以PK2应力和滑移系统当前强度为迭代变量的双重迭代全隐式迭代方案:
计算时间:
增量步数:
(3)以PK2应力和滑移系统当前强度为迭代变量的双重迭代半隐式迭代方案:
计算时间:
增量步数:
(4)以PK2应力和滑移系统当前强度为迭代变量的单次迭代求解方程组全隐式迭代方案:
计算时间:
增量步数:
(5)以滑移系剪切应变为迭代变量的迭代方案:
无法完成模拟的收敛!!!
增量步数:
(6)以柯西应力为迭代变量的迭代方案:
计算时间:
增量步数:
(7)以偏应力为迭代变量的迭代方案:
计算时间:
增量步数:
模拟得到的效果图:
技术邻APP
工程师必备
工程师必备
- 项目客服
- 培训客服
- 平台客服
TOP
1
1




















