Matlab 一维层状声子晶体振动传输特性
2024年9月9日 12:26一维声子晶体的传递矩阵法是一种用于研究声波在一维周期性结构中传播的方法。这种方法基于波动方程和周期性边界条件,通过计算声波在不同介质中的传播特性,进而分析声子晶体的带隙结构。传递矩阵法可以有效地预测声波在一维声子晶体中的传播行为,包括透射和反射系数等。一维声子晶体的传递矩阵法推导涉及波动方程的求解和周期性边界条件的应用。具体步骤如下:
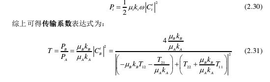
首先,需要建立声波在一维周期性结构中的波动方程。这通常通过纳维尔-斯托克斯方程或类似的方程来实现。由于声子晶体具有周期性结构,需要应用周期性边界条件。这包括在每个周期的起始和结束位置,声波的位移和速度应满足一定的关系。通过求解波动方程和周期性边界条件,可以得到一个传递矩阵。这个矩阵描述了声波从一个周期进入下一个周期时的状态变化。计算透射和反射系数。利用传递矩阵,可以计算出声波的透射和反射系数,进而分析声子晶体的带隙结构。
传递矩阵法在声子晶体的设计和应用中具有重要作用。通过调整声子晶体的材料、周期和晶格常数等参数,可以设计出具有特定带隙结构的声子晶体,用于滤波、减震、降噪等应用。例如,通过调整声子晶体的周期数和晶格常数,可以改变带隙的位置和宽度,从而实现特定的频率范围内的噪声控制。此外,传递矩阵法还可以用于分析和优化声子晶体的透射谱,为声学器件的设计提供理论依据。
- 模型构建
matlab计算结果
关于一维周期层状声子晶体在隔振系统中的应用研究,主要存在以下三个问题:
一是隔振目标频率大都为低、中频域段。这类隔振设计所针对的目标基本上为生活中常见的机械设备和常规装备,很少对高频特定目标频段的隔振问题进行针对性设计。
二是大多未对声子晶体的各项参数对其带隙及隔振特性的影响进行深入探索与设计。这类文献往往只给出选定材料及尺寸参数,未作出不同组分各项参数对系统隔振性能的影响分析。
三是大多未对连续多层声子晶体的异构态结构对其隔振性能的影响作系统的探索分析。
【免责声明】本文中的部分图片和文字信息来自文献或网络,版权归原作者所有。本文对发表的观点和分析保持中立,如果您认为文中信息来源或者分析观点有误,又或者涉及版权、隐私等问题,请及时私信联系,本公众号将立即删除修改。https://mp.weixin.qq.com/s/D4hO9pxWV8wzNczgdcp6VA
工程师必备
- 项目客服
- 培训客服
- 平台客服
TOP




















