VirtualFlow算例 | 水库大坝溃坝数值模拟
2024年9月21日 04:42为充分利用水资源,人们在天然河流上修建了水库大坝,以达到调控洪水、发电、灌溉、供水、通航、旅游、渔业养殖等目的,水库大坝对人类社会和经济的发展起到了极其重要的推动作用,但是一旦由于某种原因发生溃坝失事,对下游所造成的生命和财产损失将无法估计。
溃坝问题研究主要以历史资料统计分析及数值模拟为主,而溃坝在数值分析领域也成为了一个十分经典的案例,本文将使用积鼎 通用流体仿真软件VirtualFlow 模拟二维的溃坝流动。
案例描述
本案例的场景是一个长方形液块位于计算域一角,计算域顶部开口,左右和底部边界为壁面,在重力的作用下液块流动并冲击到一侧壁面,此过程中发生了复杂的流动。
案例详情
1. 几何建模
本案例为二维算例,其中计算域的长为3.22m,高1.8m,水相的长为1.2m,高为0.6m,位于计算域左下角。同时在计算域底部距左端2.725m处设置监测点H1监测自由液面的高程,具体的几何和计算域如图 1.1所示。
图 1.1几何与计算域示意图
2. 网格划分
网格划分现有一套网格,网格一在x方向划分成161份,增长率为1,尺寸上限为1,最小尺寸为0.02m;y方向划分成90份,增长率为1,尺寸上限为1,最小尺寸为0.02m;z方向划分为1份,增长率设为1,比尺上限设为1,最终网格总数为14490,具体参数可见表 1.1。网格一划分的示意图如图 1.2所示。
表 1.1 网格信息表
注:括号内的数字分别对应网格划分份数、增长率和比尺上限
图 1.2 网格划分示意图
3. 参数设置
其中材料属性如表 1.2所示
表 1.2 材料属性
对于各边界的类型和具体边界条件如表 1.3所示。
表 1.3 边界条件
求解过程的参数设置和停止条件见表 1.4。
表 1.4 求解参数和停止条件
初始场的设置如表 1.5所示。
表 1.5 初始场设置
多相流模型使用Level-set模型参数为默认值。
数值模拟结果
本次将选择与Andrea Colagrossi和Maurizio Landrini[1]文章中使用SPH方法所做数值模拟的结果作对比如图1.3所示。
图 1.3 VirtualFlow与Andrea Colagrossi等人结果对比图
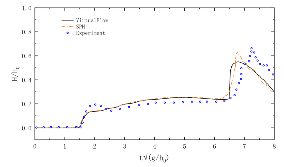
将H1监测点的结果与Andrea Colagrossi等人SPH方法的结论和Zhou[2]等人的试验测量值的对比结果如图1.4所示。
图 1.4 H1监测值对比图
总结
VirtualFlow软件准确模拟了二维溃坝水流的发展。从上述图中可以看出VirtualFlow计算的自由液面与Colagrossi等人用SPH方法计算的结果吻合良好;并且H1监测点的监测数据也与SPH方法和试验数据吻合,表明VirtualFlow处理计算界面流的可靠性。
参考文献
[1] COLAGROSSI A, LANDRINI M. Numerical simulation of interfacial flows by smoothed particle hydrodynamics[J/OL]. Journal of Computational Physics, 2003, 191(2): 448-475. DOI:10.1016/S0021-9991(03)00324-3.
[2] ZHOU Z, DE KAT J, BUCHNER B. A nonlinear 3-D approach to simulate green water dynamics on deck[J]. 1999.
工程师必备
- 项目客服
- 培训客服
- 平台客服
TOP




















