自定义模块:根据光导的导光条件计算光栅周期
浏览:2295 收藏:1
摘要
为了满足光波导的导光条件,在VirtualLab Fusion中生成了一个计算耦合光栅周期范围的模块。为了辅助设计基于波导的显示器件,给定某个视场(FOV)作为所需的输入参数。在该模块中,利用光波导的全内反射限制和传播光限制来计算可能的光栅周期范围。
编程任务:在k域中定义视场
任务:生成一个计算耦合光栅周期范围的模块,以满足平面光波导的导光条件。
说明耦合过程的平面光导图
定义入射光空间频率矢量的x、y分量为
而笛卡尔角α和β则用于定义一组入射方向的特定视场(FOV)方向。角度和方向之间的关系描述如下
编程任务:定义导光条件
k域图说明导光条件
导模必须满足导光条件,包括全内反射条件和传播模条件
光栅是一种优良的耦合元件,因为在考虑光栅矢量G的情况下,FOV在k域中发生位移,进而可将导光条件推广到
编程任务:计算周期范围
k域图说明导光条件
在一维周期光栅的情况下,光栅矢量的一个分量变为零,并且FOV总是可以旋转到光栅的内部坐标系中,使𝐺𝑦 = 0不失一般性。
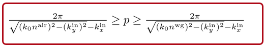
在导光条件之后,将一定FOV耦合到光导中的一维周期光栅的周期范围可以通过以下公式计算:
VirtualLab模块的输入
VirtualLab模块的输出
文件信息
延伸阅读
- 单入射方向光导耦合光栅的优化
- 期望视场上用于光导耦合的二元光栅优化
- 期望视场上用于光导耦合的斜光栅优化
技术邻APP
工程师必备
工程师必备
- 项目客服
- 培训客服
- 平台客服
TOP
1
1




















