凝固热节和冒口系统设计
2024年11月5日 16:23为了解决铸件中最后凝固位置的缩孔缺陷,冒口是最佳的选用方式,冒口的补缩是通过铸件凝固时向内部提供熔融金属来防止缺陷产生。为了使冒口有效补缩,放置的位置及大小就非常重要,这样才能有足够的熔体来补偿收缩。在FLOW-3D CAST中,已经开发出两个新工具来帮助设计无缺陷铸件的冷却和冒口系统,预测最后的凝固位置和计算热模数。
最后凝固的区域
最后凝固的区域直接标记出铸件中最后凝固的位置以及可能形成收缩缺陷的位置。尽管这些位置可以从凝固顺序的演变或凝固时间中得到,但始终首选使用更直接的方式来可视化它们。
一种特殊类型的固定颗粒用于识别和可视化最后冻结的位置,称为“热节”。使用凝固模型时,将自动输出此结果。如图1所示,在相邻的区域的熔体变为固态时中心位置还未凝固就会自动生成热节粒子来标示。
图1. 热节粒子显示
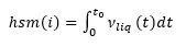
除了确定最后凝固的位置之外,这些粒子还具有其他属性,可用于确定这些位置中的缩孔缺陷的发生可能性和大小及凝固时间,热节ID和热节大小。凝固时间显示完全凝固的时间点。热节ID显示了热节凝固的顺序:ID 1是第一个热节,ID 2是第二个热节,依此类推。最后,热节大小可通过以下公式计算:
其中:
hsm(i)是粒子i的热节大小
t0是粒子位置处的凝固时间
νliq(t)是在时间t处包含粒子的液体区域的体积
图2显示所连接液体区域的体积如何随凝固时间的变化。然后将计算的量标准化,使所有热节幅度的值都在0和1之间的范围内。这允许铸件内不同热节对孔隙形成的潜在影响进行简单的比较分析。值越高,凝固过程中连接的液体区域越大,表示在最后凝固的位置出现缩孔缺陷的可能性越大。
图2 包含热节粒子的液体体积演变:t3> t2> t1。
热模数法
热模数法是常规冒口设计中最受欢迎的方法之一,特别是对于铝合金和钢铸件。对于给定的铸造零件,其模数定义为:
其中:
V是铸件的体积
A是铸件的表面积
对于常规形状(例如球体或块)而言,铸件几何模数很容易计算。任何比这更复杂的工作都需要通过常规形状来繁琐地近似铸造段。此外,几何模数方法严格依赖于铸件的几何形状。实际的铸件使用冷铁和保温套来控制凝固过程。这些特征在几何模数方法中被忽略。为了自动进行模数计算,并考虑到与冷却,保温套和其他模具变化相关的热效应,通常在冒口设计中使用一种称为热模数的创新方法。
对于热模数方法,首先进行铸件的凝固模拟。一旦仿真完成,就可以根据Chvorinov的规则从凝固时间计算出整个铸件的等效模数。使用此方法计算的等效模数称为热模数。可以使用与几何模数相同的方式来设计冒口系统。
Chvorinov的规则给出了凝固时间之间的关系,其模数可以写为:
其中:
t是铸件凝固时间
N是一个常数(通常等于2)
B是模具常数可以使用以下公式计算
其中:
ρm是金属的密度
Tm是金属的熔化或凝固温度
T0是模具的初始温度
k是模具的导热系数
ρ是模具的密度
c是模具的比热
L是金属熔化的潜热
cm是金属的比热
Tpour是金属浇注温度
在设计铸造制程时,通常以这样的方式选择冒口,即冒口的凝固时间长于相邻浇注段的凝固时间,以便有效补料。根据Chvorinov的定律,凝固时间与铸件的模数成正比。因此,当比较凝固时间时,模数可以直接比较。由于模数仅仅是几何量,因此模数的比较使设计任务更加简单。金属铸造工程师可以设计具有更大模数的冒口,以确保正确地补料给零件,而无需考虑实际铸造工艺的细节。
冷却和冒口系统设计中的应用
由Flow Science China提供并讨论了使用此功能对半汽轮机汽缸,如图3,进行重力铸造的冷却和冒口系统设计。零件的外部尺寸为2.83×2.34×1.10米,总体积约为0.95立方米,如下所示。铸造材料为碳钢,浇注温度为1530°C。
图3 铸件
首先,对没有冷却和冒口的铸件进行凝固模拟。目的是确定热节位置,并确定冷铁和冒口的位置,以及冒口的尺寸。
下图显示了凝固时的热节粒子,分别以凝固时间、粒子ID和热节大小来显示。从这些图直接看出热节位置和形成缩孔缺陷的可能性。根据铸件的几何特征,放置冒口的位置很容易确定,如图4右侧所示。但是,底壳上有一些热节,不适合放置冒口。为了防止这些位置的缩孔缺陷,可以使用冷铁来改变凝固方式,以驱使最后的凝固位置在冒口区域。
图4
计算出的热模数显示在右侧。较大的值与最后凝固位置一致。此外,热模数可用于确定热节位置的冒口尺寸。确定冷铁和冒口后,将运行第二次凝固模拟,以验证冷铁和冒口的设计。
工程师必备
- 项目客服
- 培训客服
- 平台客服
TOP




















