超高分子量聚乙烯(UHMWPE)分子量及其分布的3种表征方法
2024年11月20日 09:46超高分子量聚乙烯(UHMWPE)一般指黏均分子量在100万以上的线性长链聚乙烯材料,具有高强度、耐冲击、耐磨损、自润滑、耐化学腐蚀、耐低温等优异性能,利用其制备的纤维是世界三大高性能纤维之一,其比强度和比模量更是优于碳纤维以及芳纶纤。此外,该纤维还具有良好的弯曲性能、耐紫外线辐射、耐化学腐蚀、比能量吸收高、介电常数低、电磁波透射率高、摩擦系数低及突出的抗冲击、抗切割等优异性能。
国高材分析测试中心的高温GPC设备,分子量测试范围从1,000到1000,000,流动相为1,2,4-三氯苯,可在150 ℃下对聚合物进行分析,适用于常温下难溶的聚合物,如聚乙烯、聚丙烯、聚噻吩等,样品要求为1 mg~1g固体或液体。
分子量大小决定了树脂的最基本性能,随着反应温度的降低,平均分子量变大,而反应温度上升链转移反应的速度增加高于链增长反应速度时,平均分子量降低。在反应系统中,催化剂浓度的增加,使催化剂活性中心的数量随之增大,造成链转移反应的速度和链终止反应的速度增加高于链增长反应速度,平均分子量降低。
UHMWPE的各种性能直接与其分子量及其分布有关。UHMWPE分子量增大,不同链段偶然位移相互抵消的机会增多,分子链中心转移减慢,要完成流动过程就需要更长时间和更多的能量,所以其黏度随分子量的增大而增加,黏度过高又致使加工变得十分困难。目前国内UHMWPE纤维主要是采用湿法冻胶纺丝-超倍拉伸工艺,由于分子量不同的聚乙烯具有不同的溶胀、溶解性能,低分子量部分易于溶胀和溶解,率先进入溶解阶段,引起溶液黏度剧增,并占据大量溶剂,阻碍高分子量部分的溶解。因此要求UHMWPE原料的分子量分布尽可能的小,否则会影响UHMWPE的均匀溶解,难以获得均匀的溶液,甚至会影响工艺的顺利进行。通常分子量分布一般应小于3.5。
研究分子量及其分布对于UHMWPE的应用和加工具有关键意义。在实际应用中,分子量及其分布也是定义UHMWPE树脂作为挤出专用料或纤维专用料的重要技术指标。高分子材料分子量的测定一般是利用其性质与分子量之间存在一定的数学关系。高聚物分子量及其分布测定的方法很多,目前使用的有直接法和间接法。直接法有端基分析法、沸点上升法、冰点下降法、渗透压法、光散射法、超速离心沉降及扩散法,间接法比较常用,目前有凝胶渗透色谱(GPC)法、流变法和黏度法。目前,国内学术界及工业界缺乏对于UHMWPE树脂的分子结构参数,特别是分子量分布的准确表征方法。以下是几种常用的表征方法。
1.GPC法
GPC法是利用聚合物溶液通过填充有特种多孔性填料的柱子,在柱子上按照分子尺寸大小进行分离并自动检测其浓度的方法。采用GPC方法测试UHMWPE的分子量及其分布在技术上存在局限性。因为在实践过程中,常常需要高温条件才能出现溶解成UHMWPE稀溶液,而由于高温高剪切导致热降解和剪切降解,另外,如何建立聚乙烯标定曲线,在过滤时高分子量的聚乙烯未被过滤等都影响最终的表征结果。
图1是几种不同测试方法对比图,其中高温GPC的测试结果几乎看不到100万以上的分子量,不能很好地反映出UHMEPE分子量的特点,因此多数情况下只能作为一种参考。
图1 不同UHMEPE分子量测试方法比较
2. 稀溶液黏度法
ASTM D4020标准和IS011542-2标准中,对UHMWPE分子量的表征主要是采用稀溶液黏度法,得到的是黏均分子量。
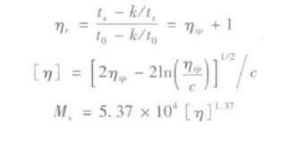
对于稀溶液黏度法,聚合物的黏均分子量(MV)通过Mark-Houwink公式与其特性黏度([η])进行关联(Mv=K[η]α)。ASTMD4020标准就UHMWPE的特性黏度测定给出了详细描述。添加适量抗氧剂的UHMWPE粉料在150℃下溶解于十氢萘中,十氢萘的用量(以mL计)约为聚合物质量(以mg计)的4.5倍。在150℃下溶解1h后,所得溶液转移至放置于135℃油浴中的乌式黏度计,并在此温度下达到热平衡。测量溶液的流出时间(ts),并与溶剂十氢萘的流出时间(to)作比较。所测样品的相对黏度(ηr)、增比黏度(ηsp)、特性黏度([η])和Mv,可以通过以下公式进行计算:
式中 k——所用乌式黏度计的动态能量校正常数;
c——溶液浓度。
ASTMD4020推荐使用的Mark-Houwink方程仅是常用的关于UHMWPE的Mv~[η]关系式之一,此标准也明确指出一种关系式可能只对一种工业生产过程有效。例如,Ticona公司目前使用的关系式(Margolies关系式)为Mv=5.37×104[η]1.49。
对相同的特性黏度[η]值,不同的Mark-Houwink方程计算得到的Mv值将存在较大的差别。图2中给出了目前工业界常用的几种用于拟合UHMWPE黏均分子量与特性黏度的关系式曲线,由图中曲线可以看出各关系式之间的巨大差别,也说明利用稀溶液黏度法测定UHMWPE分子量信息的不确定性。
图2 工业界常用的五种用于拟合UHMWPE黏均分子量与特性黏度的Mark-Houwink关系式曲线
3.定伸应力法
ASTM标准和ISO标准中引入的定伸应力法,仅是利用聚合物熔体的拉伸响应行为来表征UHMWPE的分子量大小,它甚至不能给出一个具体的分子量数值。测试时,夹具和样条需要在150℃硅油中恒温5min;选择六个适当质量的砝码(质量在100~700g之间),使得浸入在150℃硅油中的UHMWPE哑铃型样条分别在约1~20min内延伸率达到600%;然后以时间对拉伸应力(砝码质量除以样条起始截面积)以对数-对数坐标作图,在所得直线上插值读取10min时使样品延伸率达到600%所对应的应力值(图3),称为定伸应力F(150/10),用以表征UHMWPE的分子量大小。对于Ticona公司不同等级的UHMWPE产品,它们的F(150/10)值落于0.1~0.7MPa之间。
图3 典型的定伸应力测定曲线
由以上几种常用的UHMWPE分子量表征方法可以看出,上述几种单一数值方法都是建立在系列样品平均效应(黏度或应力)的经验关系之上,不能测定分子量分布,而且对于比较不同公司采用不同催化剂生产的样品往往无效。通常用于测定分子量及其分布的传统GPC方法对UHMWPE而言,由于分子链溶解性差、样品浓度低、流场中强烈变形、高温下极易剪切降解等因素,测定结果的准确性(特别是对高分子量组分)存在严重偏差。
基于以上情况,开发一种能够精确测量UHMWPE分子量及其分布的方法对于UHMWPE纤维的研发与加工应用具有重要意义。近些年来,西班牙Polymer Char公司开发了一种新型GPC-IR5MCT表征手段,由于采用灵敏度极高的IR5MCT检测器,可以满足极稀浓度的溶液的测量,在样品浓度为0.125mg/ml时,信噪比仍然可以达到60(如下图4)。同时,由于采用了全自动的样品制备系统,最大程度地避免了溶样过程中的剪切降解、热降解等因素,能够很好地应用于UHMWPE分子量及其分布的表征,对于重均分子量在1000万左右的样品都能够进行精确的表征。
图4. IR5 原始信号
下面是一个UHMWPE样品的GPC-IR5MCT表征结果(如图5),样品的重均分子量在690万左右,通过一次分析我们就可以得到UHMWPE各种相对分子质量的信息,99%的回收率证明样品已经完全溶解。同时,该手段的一个突出的优势在于能够得到UHMWPE的分子量分布的信息,这是传统分析方法无法比拟的,该数据对于对于UHMWPE纤维料的开发具有重要指导意义。
图5. UHMWPE样品分子量及其分布表征结果
小结
对于UHMEPE纤维来说,传统的分析手段只能够对其分子量进行表征,结果准确性较差,且很难得到分子量分布的相关信息。最新的GPC-IR5MCT技术能够精确表征分子量在1000万左右的UHMWPE的分子量及其分布信息,对于UHMWPE纤维的研发具有重大意义。
工程师必备
- 项目客服
- 培训客服
- 平台客服
TOP




















