设计仿真 | 使用人工智能方法扩充Sabic材料数据
2024年12月20日 15:34PART.01
背景介绍
材料数据在工程设计中起着至关重要的作用,但是通过实验测试的方法不仅成本昂贵且研发周期较长。随着使用的材料越来越复杂,包括成分、环境条件等多种因素,为了获得材料数据需要进行大量测试,如何快速高效的获得材料数据成为一个关键问题。
近年来人工智能(AI)和包含的机器学习(ML)发展迅速,利用AI/ML技术可以提供一种新方法来节约生成大型数据集的时间、精力和费用。所以材料供应商已逐步开始探索人工智能的潜力,来丰富他们的材料数据库。
本文介绍了海克斯康利用一种新的基于物理信息的人工智能方法,通过少量测试数据即可实现材料数据的扩充,帮助用户准确预测工程热塑性塑料的性能,同时节省资金和时间。SABIC公司将上述解决方案应用到其ULTEM™树脂产品中,在没有温度、应变率和加载角度条件的测试数据的情况下,准确地预测ULTEM™树脂的拉伸应力-应变响应曲线。
PART.02
使用物理信息的AI方法
ULTEM™树脂是聚醚酰亚胺(PEI)材料,非常适合多个行业的高要求应用。实际工程应用中,需要了解其在不同的温度、不同的纤维含量及类型、不同的树脂类型、不同的纤维曲线等参数情况下的力学性能,因此需要针对上千种不同组合的材料数据进行评估。
目前材料数据的生成方法主要有三种:实验室测试、先进的材料建模和AI/ML方法。每种方法都有优缺点如图1所示。
图1. 三种材料数据生成方法的优缺点
为了克服传统方法的局限性,海克斯康提出一种使用物理信息的AI方法,如图2所示。该方法有效地结合了实验数据、先进的材料模型和AI/ML方法,能够对新材料数据进行快速、低成本的响应,实现丰富和高质量的材料数据库。目前该方法已经集成到海克斯康的新数字现实平台Nexus中,可以根据聚合物的配方预测其工程性能,从而降低材料数据生成的复杂性、工作量和成本。
图2. 使用物理信息的AI方法,集成了不同材料数据生成方法的优势
PART.03
工作流程
使用物理信息的AI方法工作流程为以下三步,如图3所示:
1.收集和准备可用的材料数据:基于物理信息的AI方法只需要少量的实验数据。
2.使用Digimat增强材料数据:利用Digimat的先进材料建模功能以及上述少量实验数据,对训练数据进行丰富和增强。
3.AI模型预测材料数据:对基于物理的人工智能模型进行了训练、验证和测试,保证预测结果的精度。
图3. 使用基于物理信息的AI方法的工作流程
PART.04
研究结果
01 温度依赖性
图4展示了训练好的AI模型对SABIC ULTEM 1000树脂(未填充纤维)的预测结果:能够定性和定量地预测未填充纤维的树脂材料在不同温度下加载,直至失效的高度非线性拉伸应力-应变曲线。预测结果和实验结果一致。
图4. 准静态条件下,不同温度的ULTEM 1000树脂的实验应力-应变数据(虚线)和预测应力-应变数据(实线)
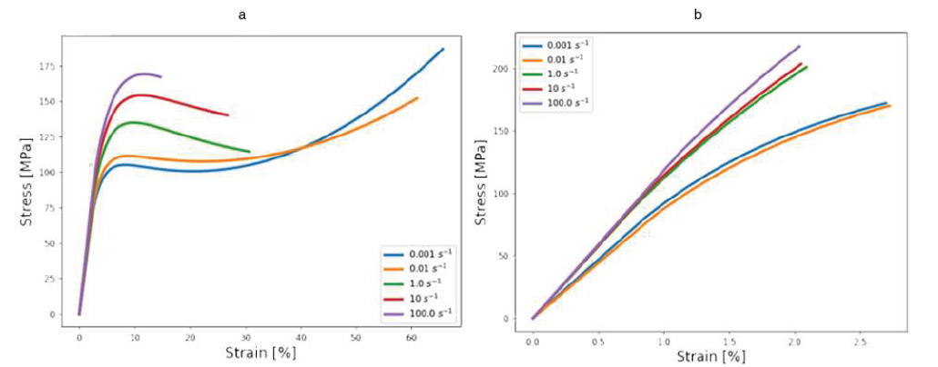
02应变率依赖性
图5显示了基于物理的人工智能模型如何捕捉SABIC ULTEM牌号在不同应变率下的性能:在23°C的实验温度下,分别考虑应变率在0.001至100s-1变化时,ULTEM 2300树脂和ULTEM 1000树脂的应力-应变曲线。
图5. 在23℃条件下,ULTEM 1000 (a) 和ULTEM 2300 (b)的应变率依赖性
03 纤维取向依赖性
纤维取向导致增强塑料的各向异性行为,这对于使用计算机辅助工程(CAE)对零件进行精确建模至关重要。图6的结果表明,基于物理信息的AI模型能够准确地扩充ULTEM 2300树脂在不同温度和加载角度下的拉伸测量结果。
图6. 准静态条件下,0° (a),45° (b)和90° (c)的ULTEM 2300材料纤维取向相关性,其中虚线为实验结果,实线为预测结果
04 对材料配方的敏感性
基于物理信息的AI模型还可以考虑ULTEM树脂配方的影响,包括树脂类型、纤维类型和纤维含量。图7显示了AI模型对材料配方的敏感性。通过在材料数据扩充时考虑材料配方特性,可以虚拟评估尚未开发或实验表征的新配方的性能。
图7. 在实验温度23℃,纤维取向0°的准静态条件下,不同材料配方的应力-应变曲线
05 置信度指标
置信度指标是对预测数据准确性的定性和定量评估,用于指导用户识别初始材料数据库中潜在弱点。它结合了如初始实验材料数据库的丰富性、输入参考实验数据的可变性和训练好的人工智能模型的全局准确性等不同标准。图8中给出一个置信度指标的热图,红色区域表示低置信度区域,表明需要额外的实验数据来提高置信度。
图8. 准静态条件下,粉碎玻璃纤维填充ULTEM树脂的置信度指标热图
总体而言,基于物理信息的AI模型预测的拉伸应力-应变数据与实验结果非常接近,精度在±10%以内。上述结果证明了基于物理信息的AI方法能够准确地扩充ULTEM树脂数据集,从而减少昂贵且耗时的实际物理材料测试。
PART.05
使用物理信息的AI方法的优势
基于物理信息的AI方法的优势与传统材料数据生成方法相比,可以降低数据的高昂成本、提高效率、增加数据准确性,如表1所示。
表1. 基于物理信息的AI方法与传统数据生成方法比较
PART.06
总结与展望
本文的研究表明,在不同温度、应变率、纤维取向和材料配方情况下,海克斯康基于物理信息的AI解决方案,可以准确高效地扩充纤维增强的ULTEM树脂和单纯ULTEM树脂的应力-应变曲线。该方法将人工智能与先进的微观力学建模相结合,克服了纯人工智能方法的弱点。上述方法也可以扩展到扩充材料其他性能数据,例如蠕变和疲劳行为。
在实际工程中,SABIC公司已经使用上述基于物理信息的AI方法,有效地满足客户及其材料工程数据需求,为其客户提供大量材料工程数据和材料CAE卡片。
工程师必备
- 项目客服
- 培训客服
- 平台客服
TOP




















