GLAD:大气像差与自适应光学
浏览:1744
概述
激光在大气湍流中传输时会拾取大气湍流导致的相位畸变,特别是在长距离传输的激光通信系统中。这种畸变会使传输激光的波前劣化。通过在系统中引入自适应光学系统,可以对激光传输时拾取的低频畸变进行校正,从而显著提升传输激光的Strehl ratio。
图1.激光通信系统示意图
系统描述
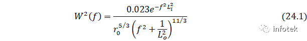
本例介绍了大气湍流像差对应命令phase/random/kolmogorov以及自适应光学命令adapt的使用。大气湍流对于激光波前的影响可以采用Kolmogorov功率谱模型表征:
其中 是波阵面的光谱功率,r0为可视参数, f是空间频率,L0是外部尺寸, Li是内部尺寸,这些参数的单位分别为rad,m,m-1。
自适应模型中,假设所有的驱动器都是一样的并且均匀分布在一个正方形的口径中,用户可以自定义驱动器影响函数的空间宽度。对于空间波长大于用户自定义空间宽度的成分,自适应默认完全校正。
引入自适应光学系统后,经过大气传输的激光光斑的初始Strehl ratio从0.04被显著提升到了0.87。
模拟结果
图2.经过大气传输的激光波前分布,此时对应的Strehl ratio为0.04
图3.经过自适应光学矫正后的大气传输激光波前分布,此时对应的Strehl ratio为0.87
技术邻APP
工程师必备
工程师必备
- 项目客服
- 培训客服
- 平台客服
TOP




















