光学实验教具应用:双缝干涉实验
 2025年5月8日 10:08
   2025年5月8日 10:08浏览:1582  
1.实验概述
双缝菲涅尔衍射的原理与夫琅禾费相同,不同之处仅为菲涅尔衍射用到的光源为点光源,且实际实验观测时不需要使用透镜,仅需在有限远处放置光屏或观测相机即可,双缝菲涅尔衍射示意图如下:
双缝干涉将产生等间距的干涉条纹
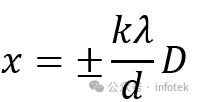
屏上各条明纹中心的位置为:
屏上各条暗纹中心的位置为:
2.使用VirutalLab Fusion建模仿真
图1.在软件中搭建实验光路
图2.软件中的仿真结果
3.实验教具中的实验搭建
图1.实验教具光路搭建
图2.实验教具结果
4.实验总结
双缝干涉实验是光学专业必不可少的一项实验,为了帮助学习和理解,我们可以在VirtualLab Fusion软件中轻易地搭建并仿真出来,同时实验教具的笼式结构也能帮助实验者快速搭建光路,获取实验现象。
 
 
          技术邻APP
工程师必备
工程师必备
-  项目客服
-  培训客服
-  平台客服
TOP
 
 



















