温度-应力耦合作用下PTFE压缩蠕变机理与检测体系构建
2025年5月14日 14:23浏览:2273 收藏:1
聚四氟乙烯(PTFE)作为一种典型的高分子材料,凭借其卓越的耐腐蚀性、低摩擦因数和化学稳定性,经常作为往复液压密封件使用。
然而,由于其长期处于承载条件下,故产生的压缩蠕变会引起尺寸的变化,发生密封件根部挤压损坏现象,在密封系统中影响密封性能。压缩蠕变和磨损均会引起PTFE材料尺寸的变化,因此,深入研究 PTFE 的压缩蠕变机理,建立科学的检测方法,对提升 PTFE 制品的工程可靠性具有重要意义。
蠕变原理
蠕变可以分为三种形变普弹形变、高弹形变以及黏性形变。高分子在外力作用下三中心变同时产生。公式如下,式中σ 为应力;E1 为普弹形变的弹性模量;E2 为高 弹模量;τ 为松弛时间;η1 为本体黏度。
典型蠕变曲线如图2,第一阶段为减速蠕变阶段,第二段恒速蠕变阶段,第三段为加入蠕变阶段,且直至断裂。
图2 典型蠕变曲线
目前国内外大部分为研究PTFE材料的拉伸蠕变行为,对于压缩蠕变行为的研究较少。
压缩蠕变测试标准
- ASTM E139-11:标准蠕变、应力断裂试验方法,适用金属材料
- ISO 204:2018:非金属材料高温蠕变测定规范
- GB/T 2039-2012:金属拉伸蠕变及持久试验方法
- ASTM D2990-17:塑料蠕变和蠕变断裂测试标准
- JIS R 1611:2010:精细陶瓷高温弯曲蠕变试验方法
压缩蠕变测试设备
国高材分析测试中心压缩蠕变试验机
技术参数:
- 力值传感器量程:10KN,1kN;力值传感器精度:
- +0.02%
- 步进马达:0.072°/step,旋转一圈360°走5000步;步进马达精度:0.05um
- 光学测量精度:3um;光学系统测量延伸率范围:30mm-200mm
- 标记块安装架尺寸:10mm*4mm,12.7mm*3.2mm
- 环境箱温度范围:-50℃-250℃
咨询电话:020-66221668
压缩蠕变的影响因素
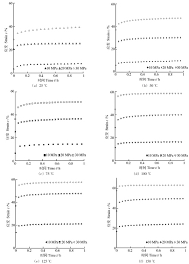
1)温度
温度通过改变分子热运动能量和自由体积,显著影响蠕变行为(图 3):
- 玻璃态(T < Tg,Tg=157℃):链段运动受限,普弹形变主导,蠕变柔量随时间变化小,蠕变速率低。
- 高弹态(T > Tg):链段自由运动,高弹形变迅速发展,蠕变柔量快速趋于平衡,稳态速率低。
- 玻璃化转变区(T≈Tg):链段松弛时间与观测时间相当,蠕变柔量急剧变化,蠕变速率达到峰值。此时,PTFE 的非晶相从冻结状态转为活化状态,分子链段的协同运动导致形变敏感性增强。
实验数据表明,当温度从 25℃升至 150℃时,相同应力下的瞬时应变显著增加,第 Ⅰ 阶段持续时间缩短,应力对稳态蠕变速率的影响减弱。这是因为高温下分子间作用力降低,链段更容易克服位垒发生运动,从而加速蠕变过程。
图3 不同温度下应力-应变蠕变曲线
2)应力
应力通过改变分子链滑移阻力和晶相结构,主导蠕变进程(图 3):
- 低应力(<10MPa):非晶区分子链段仅发生局部调整,蠕变以普弹和高弹形变为主,总应变小,稳态速率低。
- 中高应力(10-30MPa):非晶区链段滑移加剧,晶相区晶格发生塑性变形,黏性流动占比增加,蠕变速率随应力线性增长。
- 临界应力(>30MPa):分子链断裂和晶相结构破坏,进入加速蠕变阶段,应变急剧上升直至失效。
PTFE 分子的螺旋结构使其链间相互作用较弱,低应力下即可发生链段滑移。随着应力增大,晶区与非晶区的协同变形加剧,尤其是晶界处的缺陷成为滑移起点,导致蠕变不可逆性增强。
技术邻APP
工程师必备
工程师必备
- 项目客服
- 培训客服
- 平台客服
TOP
1




















