JCMsuite中对二维光栅的定义和仿真
浏览:2034
光栅是光衍射的周期性结构。它能把入射的光束衍射成几束向不同方向发散的光束。
二维光栅
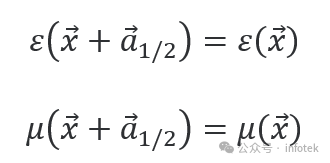
二维光栅在两个水平方向上都具有周期性。存在两个晶格矢量因此当几何结构移位一个晶格矢量时,
下图显示了一个正方形晶格和一个六方形晶格的阵列排布:
正方晶格阵列;是正交的
六方晶格阵列;两个晶格矢量形成一个60°角,且长度相等。
对于仿真,可以限制在一个单元晶胞(原始单元晶胞)上的计算,下图展示利用JCMsuite对正方形单元晶胞和六方单元晶胞仿真得到的结果:
二维光栅(正方形单元晶胞)被S偏振光照明的场矢量
二维光栅(正方形单元晶胞)被P偏振光照明的场矢量
二维光栅(六方晶胞)被S偏振光照明的场矢量
二维光栅(六方晶胞)被P偏振光照明的场矢量
技术邻APP
工程师必备
工程师必备
- 项目客服
- 培训客服
- 平台客服
TOP




















