Ansys Zemax | 手机镜头设计 - 第 4 部分:用 LS-DYNA 进行冲击性能分析
2025年6月3日 14:38附件下载
联系工作人员获取附件
该系列文章将讨论智能手机镜头模组设计的挑战,从概念和设计到制造和结构变形分析。本文是四部分系列中的第四部分,它涵盖了相机镜头的显式动态模拟,以及对光学性能的影响。使用 Ansys Mechanical 和 LS - DYNA 对相机在地板上的一系列冲击和弹跳过程进行显式动力学模拟,其中 LS - DYNA 用于解决跌落物理问题,然后通过 STAR 工具将其导入Ansys Zemax OpticStudio Enterprise,进而研究对光学性能产生的影响。
介绍
Ansys LS-DYNA (LS-DYNA)与本系列文章前面部分的Ansys工具(Ansys Zemax OpticStudio、Speos、Mechanical 和 Workbench)一起,可以将仿真工作流扩展为显式动力学,LS-DYNA 广泛用于各种分析,它的核心能力之一是显式动态。Ansys LS-DYNA适用于分析涉及接触、大变形、非线性材料、瞬态响应和/或需要显式解决方案的问题。
LS - DYNA Workbench 系统(WB LS - DYNA)允许用户使用 LS - DYNA 求解器对模型进行显式动力学分析。虽然它允许在一个环境中进行预处理、求解和后处理,但该工作流需要结合使用 WB LS - DYNA 和 LS Prep - Post 进行高级后处理。
与本系列文章的第3部分“Ansys Zemax | 手机镜头设计 - 第 3 部分:使用 STAR 模块和 ZOS-API 进行 STOP 分析”类似,本部分也使用 Ansys Mechanical 生成 FEA 数据集。然而,第3部分的重点是使用 STAR 工具和 ZOS API 自动导入有限元分析数据,而第4部分的重点是生成显式动力学结果,并在 Ansys Zemax 中查看光学性能。这两个工作流程都需要 Ansys Zemax OpticStudio Enterprise 中的 STAR 工具来处理 FEA 变形。
简介
LS-DYNA具有显式动力学的有限元分析。
手机摄像头的光机系统(光机设计见第 2 部分)被加载到 Ansys Workbench 中,并导入到 LS - DYNA 分析系统中。为了使碰撞模拟更真实,摄像头系统被放置在一个更大的机身内,该机身具有常见智能手机设备的尺寸和形状。
模拟包含摄像头系统掉落在平坦表面上的瞬态序列。平坦表面(可能是地板)在上面的图像中被标记为红色,并被设置为固定支撑。固定支撑是一种边界条件,可防止选定的几何图形或网格实体移动或变形。
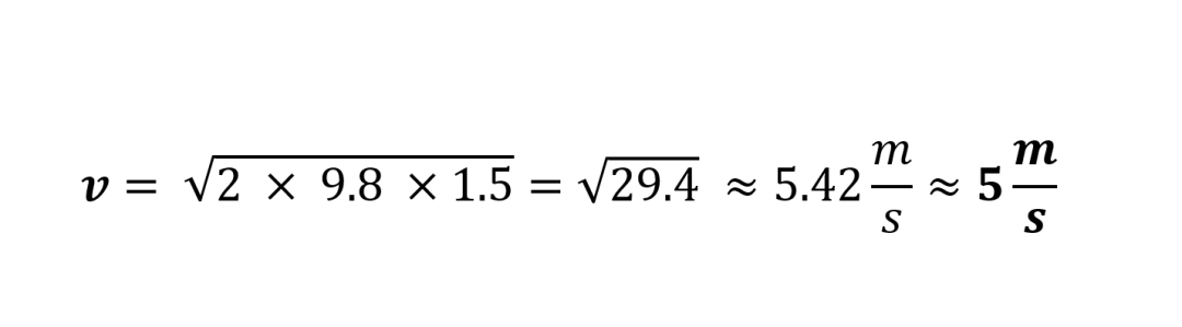
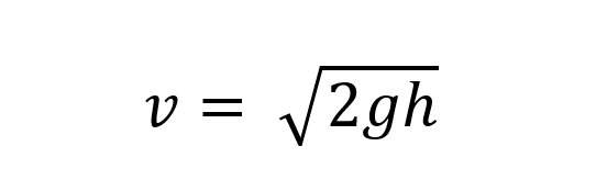
假设物体从静止状态(初速度= 0)落下,仅因重力下落,那么撞击时的速度可以用以下公式计算:
其中,v=冲击速度,g =重力加速度(9.8 m/s²),h = 摄像机系统落下的高度。假设带有摄像系统的手机从1.5米的高度(大约相当于一个普通人的手的高度)掉落,撞击速度为
这导致整个手机产生以下初始变形:
以及透镜本身的以下变形:
- 请注意,出于演示目的,视觉变形已按比例放大。
为了分析此跌落测试对光学性能的影响,需要单个透镜的变形数据集。为了提取数据集,为每个透镜面创建一个命名选择。在 WB - LSDYNA 中求解模拟后,在 LS - PrePost 中读取输入文件和结果。LS - PrePost 是 LS - DYNA 的专用前后处理工具。在 LS - PrePost 中,运行一个脚本来将特定面(在命名选择中定义)的变形导出为正确的格式,以便可以通过 STAR 工具将它们导入到 Ansys Zemax OpticStudio 中。
模拟涉及两个步骤,并且从两个步骤中都导出变形数据集:
- 冲击分析:这是模拟时间的 0 - 0.1ms,即冲击发生时。
- 冲击后分析:这是冲击状态后 1 秒,此时允许振动衰减以避免变形中出现任何不必要的噪声。
将 FEA 数据加载到 Ansys Zemax OpticStudio 中
在 Ansys Mechanical 中生成 FEA 数据集后,现在可以将它们加载到 OpticStudio 中。如本系列文章第 1 部分所述,名义上的手机摄像头系统已在 OpticStudio 中设计并优化了性能。透镜系统本身的设计基于一项专利,包含五个主要的非球面透镜:
为了分析和比较手机摄像头在三种主要状态(冲击、冲击后和名义)下的性能,通过 OpticStudio 主窗口顶部 STAR 选项卡中的多物理场数据加载器导入 FEA 数据集。
对于代表透镜或光学组件物理表面的每个表面,分配一个 “Surface_deformation” 数据集。由于自从 OpticStudio 导出名义几何形状以来坐标系没有改变,因此为特定表面对齐数据集并设置为全局坐标系。如果不是这种情况,可以将坐标系更改为局部坐标系,或者可以应用用户定义的变换。在将数据集分配给表面后,可以通过单击 “OK(Fit Multiphysics Data)” 加载和拟合数据集。
分析不同状态下的光学性能
加载和拟合多物理场数据后,现在可以分析不同状态的性能,更重要的是进行比较。由于这是一个手机摄像头系统,在性能分析过程中有一些分析工具可供使用。在这种情况下,使用以下分析工具进行分析和比较:
- 图像模拟 - 此功能通过将源位图文件与一组 PSF进行卷积来模拟图像的形成。考虑的效果包括衍射、像差、畸变、相对照明、图像方向和偏振。
- 波前图 - 显示光瞳上的波前差。
- STAR System Viewer - 显示由于拟合的多物理场数据而导致的表面变形和光学属性变化的系统范围视图。
名义系统状态
由于透镜系统已经针对这种状态进行了优化,所以图像模拟的质量非常好。波前误差是旋转对称的,最大误差为0.225波。没有显示变形,因为此时没有应用多物理数据。这将作为基线和性能的“理想”状态。
冲击状态
当加载来自冲击状态的数据集时,可以清楚地看到相机系统的性能可以被视为不可用。变形如此之大,以至于图像模拟和波前映射的结果可以称为“过时数据”。有趣的是,可以在 STAR System Viewer 中看到透镜系统的变形大小。平均变形约为 0.33 毫米,对于光学系统来说形变尺度过大了,无法执行并产生任何重要的结果。
OpticStudio 中 STAR 工具的一大优势是您可以将刚体运动的影响与表面变形的影响解耦。这可以通过 Structural Data Summary 中的简单复选框来完成,并且可以随时打开或关闭。在下面的动态图中,从完整的变形数据开始,首先禁用刚体运动RBM 部分,然后一起忽略变形效果:
在上面显示的分析结果中,包括 RBM。下面显示了相同的分析,但这次排除了 RBM。这使您能够观察到高阶变形,这在光学分析过程中非常重要。STAR System Viewer 现在显示的平均变形幅度约为 0.025 毫米,这导致波前误差约为 40 个波长,而标称性能的波前误差约为 1/4 波长,这仍然表明存在严重的光学像差。如此大的波前误差会导致图像质量高度下降,这在图像模拟中可以看到。
- 联系工作人员了解关于 RBM 变形和高阶变形比较的更多信息
冲击后状态
冲击后状态的结果如下所示。
查看 STAR System Viewer 的变形矢量,仍然有趣的是,在一些镜头的边缘区域仍然存在约 0.025mm 的变形幅度。然而,可以清楚地看到,最后一个镜头(即红外滤光片)的幅度显着下降。这导致性能仍然明显低于名义状态,但会导致更有效的结果。波前图显示误差约为 ± 15 个波,这仍然远远超过这种光学系统的可接受限度。图像模拟显示了镜头变形与相机系统中可能发生的失真和像差之间的直接联系。该物体是可识别的,但非常模糊。
结论
本系列文章的第 4 部分展示了如何在 Ansys Workbench 中使用 Ansys LS - DYNA 模拟手机摄像头模块的跌落测试的显式动力学。使用 Ansys Mechanical 提取了冲击和冲击后状态的变形数据集并进行处理,以便在 Ansys Zemax OpticStudio 中使用。在 Ansys Zemax OpticStudio 中,可以通过 STAR 模块加载 FEA 数据集并将其分配给光学系统。这样,光学工程师可以研究和比较光学系统在冲击和冲击后状态变形影响下的性能。
后续步骤
在这个示例中,我们分析了跌落测试中的光学性能。同样 LS-DYNA- Mechanical - Zemax 工作流程还可以应用于研究振动或累积冲击等其他领域。
工程师必备
- 项目客服
- 培训客服
- 平台客服
TOP




















