Ansys Zemax|如何使用 Jones Matrix 表面
2025年6月10日 14:25附件下载
联系工作人员获取附件
简介
偏振态分析 (polarization analysis) 可以作为一般光线追跡的进阶功能。在模拟的过程中,会将入射光因为元件表面镀膜、反射和吸收而造成的能量损耗纳入考量。
一般的情况下,OpticStudio 可以对大多数的镀膜或双折射材料进行完整的分析。但有时因为分类数据报告 (Prescription data) 不够齐全,在进行模拟时会需要简化后的模型。举例而言,当我们无法得到真实的镀膜资讯时,OpticStudio 中的理想 (IDEAL) 和表定 (TABLE) 镀膜设定就可以派上用场。相似的,Jones Matrix 可以在缺乏实际模型的情况下,用来表示偏振元件。当我们面对元件资讯不完整的情形时,Jones Matrix会是模拟偏极化效应 (polarization effect) 的好帮手。
关于 Jones Matrix
在下列的式子中,我们用向量 E 来表示电场的振幅和偏振态。此外,E 具有 {Ex, Ey, Ez} 三个复数型式的分量。而传播向量 k 的三个分量 {l, m, n} 则是电磁波在 x, y, z 方向上的 Cosine分量。为了使下方的式子成立,E 和 k 必须互相垂直。
将 E 和 k 分别以分量的形式带入,我们可以得到下方的结果。
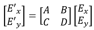
任意两种材料间的介面都可以使入射光产生偏极化的现象,而 OpticStudio 可以将这个结果完整的呈现。除此之外,OpticStudio 也为一般的偏极化装置提供了理想的模型。若想在OpticStudio 中产生 Jones Matrix 表面,在序列模式(Sequential ray tracing)下,Jones Matrix 可在表面型态 (Surface Type) 选单中选取; 而在非序列模式 (non-Sequential ray tracing) 中,则是以物件型态 (Object Type) 的方式呈现。Jones Matrix 根据下方的式子改变电场的 Jones 向量。
上式中的 A, B, C, D 皆为复数形式。在镜头数据编辑器 (LDE)和非序列元件编辑器 (Non-Sequential components editor),我们可以在Jones Matrix后方的栏位输入各元素的实数及虚数部分,以定义不同的 Jones Matrix。
有一点必须要特别注意的,Jones Matrix 并不会因为 Ez 的变化产生改变 (系统预设入射光垂直入射偏振片)。一般而言,偏振片和玻板(waveplate)确实是用在準直入射光线或发散角(divergence angle)极小的情况下。
假如是入射光束是准直的,且与 Jones Matrix 互相垂直。我们可以经由 k • E = 0 以及传播向量k具有 {0, 0, 1} 分量,这两个前提得知 Ez 一定为 0。同时,我们可以利用 Ex 和 Ey 表示入射光的偏振态。另一方面,如果光束以任意的 {l, m, n} 向量入射,OpticaStudio 会自动调整 Ez 或 {Ex, Ey},来达到 k • E = 0 且 E 的振幅不会增加的目标。但这样的调整可能会使 E 的振幅变小,最后导致穿透光能量的损耗。
以下是一些具代表性的 Jones Matrix,我们可以在 OpticStudio 的 Help System 中找到这些资讯。
范例
下方是一个将 Jones Matrix 表面作为1/4玻板 (quarter wave plate) 的案例,可以联系工作人员获取文章附件。
注意,上图中 Jones Matrix 表面并没有曲率半径 (Radius) 的栏位。如上一个小节所说,这种表面通常用在准直光束垂直入射的情况,因此必须是一个平面。我们可以在下图的分类数据报告 (Prescription data) 看到矩阵中的元素已被输入镜头数据编辑器 (Lens Data Editor)。在这个案例中,Jones Matrix 被用来当作 x 方向上的1/4玻板。
观察 Jones Matrix 表面产生的结果最简单的方式是利用偏振光瞳图 (Polarization Pupil Map)。依序选取 Analyze...Polarization...Polarization Pupil Map,我们可以看到如下图的结果。
观察上图,我们可以看到输入的圆偏振被转为线偏振。假如我们将 Jones Matrix 当作 x 方向上的半玻板 (Areal = -1, Dreal = +1,其余元素皆为0),这时输出的圆偏振方向会与输入时相反(例如输入左旋圆偏振后会产生右旋圆偏振的结果)。
假如我们将 Jones Matrix 当作 x 方向上的检偏镜 (analyzer) (Areal = +1,其余元素皆为0),则只有 x 方向的偏振光可以顺利通过,穿透率 (Transmission) 也因此减为原本的一半。
注意: Analyze...Polarization 中的所有分析功能均有 Settings 的选项,提供使用者直接输入入射光的偏振态。但假如在其他情况下,使用具有’偏振使用(Use Polarization)’选项,却又无法直接键入光线偏振态的分析功能时(像是Huygens PSF),我们需要透过System Explorer...Polarization更改全域的偏振态设定。注意: Analyze...Polarization 中的所有分析功能均有 Settings 的选项,提供使用者直接输入入射光的偏振态。但假如在其他情况下,使用具有’偏振使用 (Use Polarization) ’选项,却又无法直接键入光线的偏振态的分析功能时(像是 Huygens PSF),我们需要透过 System Explorer... Polarization 更改全域的偏振态设定。
工程师必备
- 项目客服
- 培训客服
- 平台客服
TOP




















