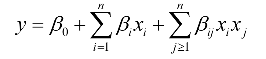
【JY】基于代理模型的结构参数优化与精度提升介绍
2025年8月3日 12:21在工程领域,面对复杂模型的高计算量挑战,代理模型成为提升分析效率的关键手段。本文聚焦代理模型,开篇阐述其定义与核心思想,即通过显式函数近似替代复杂原模型,模拟结构输入输出关系。
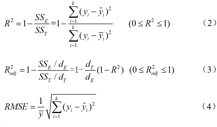
本文详细介绍了代理模型的构造流程,包括模型选择(如二次多项式、径向基函数等)、参数敏感性分析(筛选关键参数)以及试验样本设计(运用多种数理统计方法)。同时,说明了模型建立后的求解与评价方式,通过最小二乘法求系数矩阵,利用均方根误差 RMSE 和决定系数 R² 衡量精度 。
代理模型简述
代理模型(又称响应面),顾名思义,即起到近似代理代替原模型作用的模型,一般为显式函数。代理模型的基本思想是通过构造一个显式函数模拟实际结构复杂的输入与输出关系(简单的理解:输入结构参数,输出结构响应)。由于实际工程中模型较为复杂且伴随着巨大的计算量,为提高分析效率,采用显式函数代替结构参数与结构响应间的复杂隐式关系,可快速获取不同结构参数对应的结构响应。
代理模型的构造主要包括代理模型的选择、参数敏感性分析以及试验样本的设计。常见的代理模型有:二次多项式、径向基函数、Kriging模型以及人工神经网络四种。可根据实际工程分析的复杂程度选择代理模型,最常用的为二次多项式。参数敏感性分析用于选取对结构响应影响较大的参数,剔除对结构响应影响不大的参数,以减小模型维度、降低计算成本。试验样本的设计会影响代理模型的精度,因此需要采用数理统计的试验方法,常用的方法有拉丁超立方抽样、中心复合设计抽样、正交设计与均匀设计等。
在完成代理模型选择、参数敏感性分析以及样本点的设计后,将所得样本点(即结构参数)输入有限元模型中,获取各样本点对应的结构响应,在根据采用最小二乘法求解代理模型中的系数矩阵。最后,为评价所建立代理模型的计算精度,采用均方根误差RMSE与决定系数R2进行评价。所建立代理模型可用于结构参数优化、参数识别等。以下给出代理模型建立的流程图,并通过简单算例的参数识别研究,加深对代理模型的认识与理解。
代理模型流程图
三层框架动力模型修正算例
有限元模型参数及仿真结果
有限元模型概况:三层混凝土框架结构如图1所示,框架总高度9000mm,宽度6000mm,各构件截面尺寸参数如下表1 所示。其中梁、柱之间所采用的混凝土强度等级不同,因此对应的弹性模量有一定的差距。假设有限元模型的参数如下表2 所示,其中密度统一为2403kg/m3(暂时不考虑材料密度的影响)。模型的横梁与立柱之间均为整体浇筑。
图 1三维框架有限元模型
表1各构件截面尺寸
构件名称截面尺寸(mm × mm)X 向主梁 |
250 × 500 |
Y 向主梁 |
250 × 600 |
1-2 层柱 |
600 × 600 |
3 层柱 |
500 × 500 |
表2 有限元模型材料参数
构件名称弹性模量 / MPa密度 /(kg/m³)横梁 |
20000 |
2403 |
1-2 层柱 |
39000 |
2403 |
3 层柱 |
32000 |
2403 |
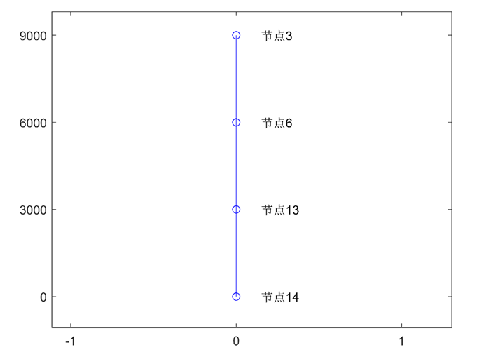
对有限元三维框架模型进行模态分析,得到前五阶固有频率。同时将框架简化为单质点体系,每层简单划分为一段(图2编号参照有限元节点编号),一共输出四个节点的纵向位移,得到前五阶频率的振型向量,用以进行振型相关系数MAC的计算。
图2 简化模型
有限元模型前五阶固有频率如表3所示、对应的模态振型如表4所示:
表3有限元模型固有频率
表4有限元模型前五阶振型向量
节点编号第 1 阶第 2 阶第 3 阶第 4 阶第 5 阶3 |
-0.2350 |
-0.2307 |
0.2365 |
-0.2255 |
0.003696 |
6 |
-0.1403 |
-0.1436 |
0.1452 |
-0.1436 |
0.002224 |
13 |
-0.04673 |
-0.0500 |
0.0495 |
-0.0508 |
0.001078 |
14 |
0 |
0 |
0 |
0 |
0 |
试验参数及仿真结果
假设误差来源于梁、柱的弹性模量,因此将有限元模型的弹性模量进行调整,相应的参考参数如下表5所示。
表5 试验模型材料参数
构件名称弹性模量 / MPa密度 /(kg/m³)横梁 |
17500 |
2403 |
1-2 层柱 |
37375 |
2403 |
3 层柱 |
34125 |
2403 |
试验模型前五阶固有频率如表6所示、对应的模态振型如表7所示:
表6有限元模型固有频率
表7有限元模型前五阶振型向量
节点编号第 1 阶第 2 阶第 3 阶第 4 阶第 5 阶3 |
-0.2356 |
-0.2312 |
-0.2394 |
0.2285 |
0.003934 |
6 |
-0.1400 |
-0.1435 |
-0.1463 |
0.1449 |
0.002533 |
13 |
-0.0464 |
-0.0496 |
-0.0495 |
0.05092 |
0.001230 |
14 |
0 |
0 |
0 |
0 |
0 |
对有限元模型以及试验模型进行模态匹配,匹配结果如下表8所示:
表8 有限元模型以及试验模型进行模态匹配
匹配后阶数有限元阶数试验阶数仿真频率/Hz试验频率/Hz频率相对误差/%MAC系数(Z向)1 |
1 |
1 |
31.695 |
30.44 |
4.14% |
1.0000 |
2 |
2 |
2 |
36.46 |
34.96 |
4.30% |
1.0000 |
3 |
3 |
3 |
41.228 |
39.58 |
4.18% |
1.0000 |
4 |
4 |
4 |
45.705 |
43.58 |
4.87% |
1.0000 |
5 |
5 |
5 |
102.47 |
99.91 |
2.57% |
0.9990 |
从表8可看出,由于构件弹性模量的差别,有限元模型与试验模型之间有一定的误差,但误差均保持在5%以内,其中最大误差出现在第四阶模态,为4.87%。同时可知前四阶频率的MAC值均为1,大于0.8,说明了有限元模型与试验模型之间的模态匹配较好,同时表明构件的弹性模量对前四阶振型影响不大,而第五阶振型略有减小但仍接近于1,说明高阶模态较易受到构件弹性模量参数变化的影响。初始有限元模型与试验结构模型存在不可忽视的误差,因此有必要对有限元模型进行修正。
模型修正
假定有限元模型建模过程中的不确定性因素包括:梁弹性模量、1-2层柱子弹性模量,第3层柱弹性模量。该框架模型有三个可变参数:梁弹性模量E1、1-2层主弹性模量E2,第3层柱弹性模量E3,将此三个参数拟定为待修正参数。并将三个待修正参数分别进行归一化(E1/20000,E2/39000,E3/32000),确定三个待修正参数的可行域数据见表9(假定其可行域在原有基础上上下波动20%)。
表9 三层框架模型待修正参数及其可行域
因素编号变量名称变化范围1 |
梁弹性模量 |
[0.80,1.20] |
2 |
1 - 2 层柱弹性模量 |
[0.80,1.20] |
3 |
第 3 层柱弹性模量 |
[0.80,1.20] |
在确定待修正参数的可行域后,对三个待修正参数进行试验设计,常用的试验设计方法有:中心复合设计(CCD)、Box-Behnken(BBM)设计、D-最优试验设计等,其中XX试验设计可在较少样本点的情况下保证较高的试验精度,因此采用BBM设计进行试验设计和如下二次多项式响应面模型:
其中试验设计见下表10:
表10 三层混凝土框架结构试验设计
试验号因素 1因素 2因素 31 |
1.2 |
0.8 |
1 |
2 |
0.8 |
0.8 |
1 |
3 |
1 |
1.2 |
1.2 |
4 |
1 |
0.8 |
0.8 |
5 |
0.8 |
1 |
1.2 |
6 |
1.2 |
1 |
1.2 |
7 |
1.2 |
1 |
0.8 |
8 |
0.8 |
1 |
0.8 |
9 |
1.2 |
1.2 |
1 |
10 |
1 |
1.2 |
0.8 |
11 |
1 |
0.8 |
1.2 |
12 |
0.8 |
1.2 |
1 |
13 |
1.2 |
0.8 |
1 |
按照上述试验设计的样本点对有限元模型参数进行模态分析,得到前五阶频率,见表11:
表11设计点固有频率计算结果
试验序号第 1 阶第 2 阶第 3 阶第 4 阶第 5 阶1 |
31.577 |
36.72 |
41.329 |
46.916 |
101.63 |
2 |
28.474 |
32.812 |
37.12 |
41.064 |
93.588 |
3 |
33.283 |
38.095 |
43.158 |
47.318 |
109.05 |
4 |
29.979 |
34.686 |
39.117 |
43.972 |
96.131 |
5 |
30.181 |
34.542 |
39.155 |
42.783 |
100.46 |
6 |
33.29 |
38.527 |
43.489 |
48.667 |
108.03 |
7 |
33.011 |
38.101 |
42.97 |
48.297 |
104.43 |
8 |
29.989 |
34.226 |
38.777 |
42.486 |
96.576 |
9 |
34.62 |
39.784 |
44.975 |
49.928 |
110.66 |
10 |
33.032 |
37.696 |
42.683 |
46.954 |
104.17 |
11 |
30.203 |
35.035 |
39.546 |
44.281 |
98.762 |
12 |
31.592 |
35.851 |
40.674 |
44.104 |
103.25 |
13 |
31.716 |
36.493 |
41.268 |
45.735 |
102.8 |
根据计算结果,对上述三个待修正参数进行方差分析,结合F检验法挑选显著性高的参数。如果对有限元模型的设计参数(因素)A 进行F检验,统计量为:
其中dA与dE分别为因素和偏差的自由度。在方其中dA与dE分别为因素和偏差的自由度。在方差分析中,对于给定的显著性水平α。
满足上式时,可认为设计参数A影响显著,反之认为不显著。 三个参数对前五阶频率的显著性分析结果见图3。
从显著性分析结果可看出,三个参数均表现出较高的显著性,只有参数之间的交叉项表现出较低显著性 (F值越大越显著,p值越小越显著)。
基于上述分析结果,将完全二次多项式(1)作为模型的相应函数,其中β0、βi和βij为待定系数,根据样本点的计算数据利用最小二乘回归分析确定待定系数。确定待定系数后,通过式(2)、(3)、(4)检验响应面模型的精度,如符合则需进行参数设计修正,不符合则需重新进行试验设计:
采用均方根误差(RMSE)对拟合得到的响应面模型精度进行判断见表12:
表12 前五阶模态频率均方根误差
第1阶第2阶第3阶第4阶第5阶0.0179% |
0.0112% |
0.0071% |
0.0081% |
0.0393% |
结果显示均方根误差在10^-4量级,表明所建立的响应面模型能够较好的反应有限元模型,二者之间的差异较小,符合响应面模型的精度要求,可采用响应面模型代替有限元模型进行后续的修正计算。在得到响应面模型后,以结构前五阶频率为目标函数,采用遗传算法对目标函数进行优化求解,得到修正后的参数值及误差,见表13。
表13 修正前后参数误差
得到修正后的参数值,将修正后参数值代入有限元模型并进行模态分析,得到修正前后前5阶固有频率,并将试验值、修正前后的仿真值进行对比,分析其固有频率的相对误差,如表14及图5所示。
表14 前5阶固有频率修正前后对比
阶数试验Hz修正前/Hz修正后/Hz修正前误差/%修正后误差/%第1阶 |
30.435 |
31.695 |
30.414 |
4.14% |
-0.0690% |
第2阶 |
34.956 |
36.46 |
34.959 |
4.30% |
0.0086% |
第3阶 |
39.575 |
41.228 |
39.558 |
4.18% |
-0.0430% |
第4阶 |
43.584 |
45.705 |
43.57 |
4.87% |
-0.0321% |
第5阶 |
99.907 |
102.47 |
99.87 |
2.57% |
-0.0370% |
图 5修正前后的频率相对误差
通过表14可知,修正后结构的前五阶频率误差均在0.07%以内,符合精度要求,表明修正后的模型精度较高,说明完全二次多项式响应面方法适合试验、仿真模型之间有一定误差的模型修正。后续对复杂结构进行有限元模型修正可在此简单算例的基础上进行,同时需要对最基本的完全二次响应面分析方法进行改进,以适应复杂结构的模型修正。
(完)
更多精彩,关注建源学堂!
工程师必备
- 项目客服
- 培训客服
- 平台客服
TOP




















