汽车行业分享丨SimSolid 在钢结构设计中的应用及体会
2025年8月18日 10:35*本文源自汽车行业用户范会超投稿
1.工程背景
近几年,在机械产品设计领域,SimSolid 作为一款无网格分析软件,正发挥着日益重要的作用,尤其在钢结构设计过程中展现出独特优势。传统钢结构设计流程复杂,需投入大量时间进行有限元模型构建与分析,而 SimSolid 的出现极大地简化了这一过程。
本文章重点和大家分享 SimSolid 在钢节点设计分析中的应用,因为钢节点设计在钢结构整体设计过程中处于核心地位,它既是结构连接的枢纽,又是荷载传递的关键,更是保障安全、控制成本和实现结构灵活性的重要环节,对钢结构的整体性能和工程质量起着决定性作用。
2.软件简介
Aitair SimSolid 是一款专门为快速发展的设计流程开发的结构分析软件。它消除了几何体简化和网格化过程,可快速对复杂 CAD 装配体进行分析,大大缩短了结构的分析周期。支持多种分析类型,包括静力学分析、模态分析、热分析、结构热耦合、非线性静力学分析(接触、材料和几何形状分析)、疲劳分析、线性动力学(时间、频率和随机响应)等多种分析类型,能满足不同工程场景的需求。
3.主要内容
3.1 钢节点连接
钢节点设计的性能指标中,节点强度直接关乎整个钢结构的稳定性与安全性。如下图1所示的螺栓连接和焊接,是钢结构设计中最常见两种节点连接方式,下面针对焊接连接,开展强度分析方法的介绍,同时与依据钢结构设计规范的计算结果对比,对仿真结果进行合理性说明及讨论。
图1.红色圈示-螺栓连接;绿色圈示-焊接
3.2 焊接连接节点
焊缝连接设计包括两个关键参数,即焊缝长度、焊缝截面尺寸。SimSolid 运用先进的数值算法,快速评估焊接强度是否满足设计要求,帮助工程师发现钢节点设计中的潜在失效位置。下面以典型的K型焊接节点,说明SimSolid在节点强度分析中的应用,计算参数及三维结构如下图2所示。
图2 设计参数及三维图
► 3.2.1 模型设置
①焊缝连接模拟:通过两种方式模拟焊缝,一种是近似法,在导入几何模型时,软件根据设置的检测参数,自动识别的连接关系,在支管端面与主管接触表面之间建立绑定连接,近似模拟焊缝的载荷传递作用,如图3.1所示。另一种是直接法,导入模型后,根据焊缝的设计长度和焊缝尺寸,建立三维焊缝模型,如图3.2所示。
图3.1 方式1-默认绑定连接
图3.2 方式2 创建角焊缝连接
② 边界条件设置:在载荷模块,选择力/位移工具,如图4.1所示,定义管接头端部的作用载荷,主管左侧施加921 kN,右侧施加载荷545 kN,左侧支管受拉伸载荷251.6 kN,友侧支管受压缩载荷275 kN;由于接头没有约束边界条件,因此需要利用惯性释放的方法计算结构的静力平衡问题,选择惯性载荷工具,定义惯性释放,如图4.2所示。
载荷定义结束后,显示载荷加载及方向的模型如图5.1所示,分析模型的边界结构树如图5.2所示。
图4.1 端部载荷定义
图4.2惯性释放定义
图5.1 模型载荷条件
图5.2模型结构树
► 3.2.2 求解设置
本案例考虑金属材料非线性,并且结构具有一定的薄板特性,因此求解设置如下图6所示:
图6 求解及结构设置
► 3.3.3 结果讨论
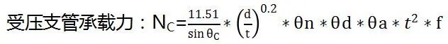
①理论结果:钢管材料Q235,屈服强度235MPa,设计强度215MPa,角焊缝的设计强度160MPa。根据钢结构设计规范计算K型钢节点支管的承载能力,计算过程如下:
上式中:θ𝚌为受压支管轴线与主管轴线的夹角,θ𝚝
为受拉支管轴线与主管轴线的夹角,θ𝚗为反应主管轴向应力状态对承载能力的影响,θ𝚍反映了支管与主管外径比的参数,θ𝚊反应支管间隙等因素对节点承载力的影响,f表示钢管的设计强度。各参数的详细取值及计算公式可查阅文末参考文献《钢结构原理与设计》,这里不在赘述。最后带入相关系数计算结果为:
右侧受压支管最大承载载荷为:
左侧受拉支管最大承载载荷为:
经上述计算可知:右侧受压支管的承载载荷为376 kN大于施加载荷275 kN,受拉支管的承载载荷为344.2 kN大于施加载荷251.6 kN,因此该节点结构在设计载荷作用下满足强度要求。
②方式1仿真结果:采用方式1近似法模拟焊缝的应力分析最大应力304MPa,发生在支管的端面边缘,如图7.1所示。由于焊缝简化为绑定连接,由于支管端面边缘的几何尖锐特征,导致此处的应力稍稍偏高。钢管整体应力分布如图7.2所示,各管体的最大应力在200~223 MPa之间,均小于屈服强度,可见满足强度设计要求。
图7.1 最大应力
图7.2 整体应力云图
③方式2仿真结果:采用方式2直接法模拟焊缝的应力分析结果如图所示,最大应力877MPa,发生在焊缝本体上面,如图8.1所示。这是因为自动生成的焊缝特征边缘具有几何尖锐特征,同时焊缝为线弹性材料属性,导致此处的应力显式偏高。钢管应力分布如图8.2所示,最大应力在200~223 MPa之间,均小于屈服强度,与方式1的结果基本一致。
图8.1 最大应力
图8.2 整体应力云图
④焊缝分析结果:上述两种方法均能准确的计算管体母材的受力问题,而对于焊缝本身的强度分析, SimSolid 提供了专门的后处理工具,结合第二种焊缝建模方法,可以准确的评估焊缝的强度风险。如下图9所示,可以查看焊缝的受力和应力结果,同时可以定义焊缝的单位长度受力失效准则和应力失效准则。
图9 焊缝结果查看方法
本案例中,焊缝的受力结果如下表1所示,焊缝1的总接触力251kN,焊缝2的总接触力276kN,分别与节点支管施加的外载荷相等,说明软件内部计算达到平衡,结果可靠。
表1 焊缝受力结果统计
本案例中,焊缝的应力结果如下表所示,焊缝1的最大等效应力94MPa,焊缝2的最大等效应力151MPa,均小于焊缝的许用强度,满足设计要求。
表2 焊缝应力结果统计
除此之外,焊缝工具还可以进一步查看各应力分量沿焊缝长度的分布情况,通过曲线和云图两种方式,方便工程师更直观的理解焊缝受力情况,识别潜在失效问题,并正对性的提出改进方案,如下表3所示。
表3 焊缝应力结果可视化
4.总结及体会
总结:本文通过典型的K型焊接钢节点,展现了 SimSolid 在钢结构设计中应用价值,不仅可以准确模拟各类载荷作用下,结构本身和连接体的应力分布情况,并给出详细的应力云图与数据,而且可依据分析结果,找到产品的改进方向,通过调整节点形状、增加加强筋等方式提高节点强度。
体会:SimSolid 在大型钢结构项目中的应用越来越广泛,如何建立传统设计标准与高效计算方法的对应关系,是当前面临的重要问题。一方面需要设计工程师对 SimSolid 的成功案例进行总结归纳和推广,另一方面也需要通过 SimSolid 软件针对各类关键节点形式,如焊接、螺接、铆接等,开展全面的研究对比,建立相应的评价指标和标准,并在项目中不断修正和完善,最大化软件的工程价值。
本文中对焊缝两种建模方式和结果的讨论,可以看到几何突变时的应力集中会带来异常的高应力,导致结果失真。SimSolid 中更合理的焊缝应力查看方式是借助专门的焊缝工具,通过焊缝合力计算得出焊缝应力。
参考文献
- 夏志斌 姚谏 编著 钢结构原理与设计(第二版)中国建筑工业共出版社
- SimSolid 帮助文档
申请免费试用
如您对 Altair 软件及解决方案感兴趣
欢迎扫描二维码申请免费试用:
关于 Altair 澳汰尔
Altair 是计算智能领域的全球领导者之一,在仿真、高性能计算 (HPC) 和人工智能等领域提供软件和云解决方案,服务于16000多家全球企业,应用行业包括汽车、消费电子、航空航天、能源、机车车辆、造船、国防军工、金融、零售等。
近期,Altair被全球工业软件领导者西门子收购,成为西门子数字化工业软件(Siemens Digital Industries Software)旗下成员,进一步巩固西门子在仿真和工业人工智能领域的全球领导者地位,其技术正与西门子Xcelerator解决方案进行深度整合。
欲了解更多信息,欢迎访问:
工程师必备
- 项目客服
- 培训客服
- 平台客服
TOP




















