ultraFluidX 动力舱热仿真
2025年9月8日 14:08- 动力舱热仿真的任务
动力舱是车辆,船舶,重型机械等装备的核心部位,通过 CFD 数值模拟,精准分析舱内温度场与流场的分布,主要完成以下设计目标:
- 优化热管理与散热设计,识别过热区域,评估并优化散热方案(如风道、冷却系统布局),防止设备性能下降或损坏;
- 协同布局与风道设计,确保气流顺畅到达关键部位,减少回流和短路;
- 换热器优化,提升传热效率,降低流动阻力;
- 风扇优化,匹配系统阻力特性,实现高效低噪运行。
2 ultraFluidX 模拟动力舱流场
和温度场的优势
2.1 节省大量 CFD 建模时间
动力舱结构复杂,包含动力设备、冷却系统、传动系统、进排气系统,壳体等复杂几何特征。传统网格法 CFD 需要简化模型,网格质量优化等操作耗费大量人工时间。LBM 方法“无网格”的特点,最大程度保留原始 CAD 特征,允许部件穿透、干涉,STL 三角形面仅用于定义壁面形状,无须高质量面网格。
2.2 稳健的瞬态高精度求解
LBM 方法是天然弱可压缩求解,全显式时间推进方法,不存在隐式迭代发散的问题。LES 大涡模拟准确捕捉流动细节。LBM 法直接求解温度方程,无须耦合其他求解器。
2.3 快速设计迭代
设计变动,如调整格栅或风扇,仅须替换部件,参数设置,格子生成,求解,后处理报告生成完全批处理自动化。
传统 CFD 模型的面网格
LBM 求解器的面网格
3 传统网格法 CFD vs. LBM
4 演示案例
- 机舱尺寸的长宽高为3.6*2.2*1.8米,风扇直径1米;
- 风扇的上下游各有2个换热器,外部空气从上游格栅吸入,从左右两侧和下游的格栅排出;
- 换热器1已知发热功率,换热器2已知入口冷却液温度;
- 排气管,发动机表面,油底壳表面分别设置高温边界条件,环境温度30℃;
- 分别计算风扇旋转(强制冷却)和静止(自动对流)两种工况。
动力舱外观
在HyperMesh CFD中导入CAD,采用Discrete→Surface→Rigid Body 方式生成 STL 三角形表面。
发动机装配体可以采用 CAD Wrapper 方式进行快速包面处理,保留几何特征,并自动缝合间隙,封闭管路进出口。
CAD
STL 面网格
叶片通常比较薄,Rigid Body 面网格参数设置 element size=5mm,feature angle≈1~5°,确保 STL保留重要高曲率变化面特征。
CAD
STL面网格
设置虚拟风洞的尺寸,基准格子尺寸Far Field=256mm,动力舱Box多层加密,壁面offset加密=2mm,风扇旋转区域加密4mm。
设置风扇旋转 OSM 模型。
风扇转动 OSM 模型
设置壁面温度边界条件。
排气管表面温度
发动机表面温度
壁面边界条件设置
设置空气属性和重力方向。
换热器参数设定:
- 粘性和惯性阻力系数;
- Constant Heat Power 或 Coolant Temperature;
- 冷却液流量,比热容;
- Heat Coefficients 定义换热器性能;
- 换热器芯上游约5~10mm位置设置监测面,统计入口面的空气属性,用于热平衡计算。
换热器的设置
换热器1的性能参数
换热器2的性能参数
5
换热器计算原理
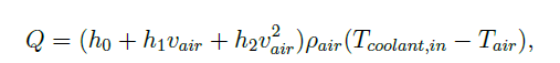
5.1 Constant Coolant Temperature 模式
- 用户指定冷却液入口温度,求解器计算换热器的实际换热功率和冷却液的出口温度;
- 上游监测面用于统计来流空气的速度,密度和温度;
- 换热功率Q (h0/h1/h2为用户输入的换热系数);
- 冷却液出口温度。
5.2 Constant Heat Power 模式
- 用户指定换热功率,求解器计算冷却液的进/出口温度;
- 上游监测面用于统计来流空气的速度,密度和温度;
- • 空气侧温升
• 冷却液的进出口温度
设置Section Cut的位置,保存水平和垂直2个切面数据的频率和变量名称。
设置Run time物理时长,和Scaling factor系数:
- 温度场计算通常5~60秒之间,Scaling factor设置2~5,可以加速计算。
Thermal Model:
- 强制冷却Passive scaler;
- 自然对流Boussinesq。
为了加速计算,可以先采用粗格子,虚拟风扇(P-Q曲线)模型快速计算,获得近似结果。再将结果映射到细密格子,OSM风扇动网格模型计算,最终获得高精度结果。(详见在线帮助Expert Parameters章节的<initialization> - <seeding>功能)
本案例粗格子模型voxel为5百万,物理时间18秒,4v100计算1.6小时;精细格子模型voxel为8千万,物理时间3.8秒,4v100计算12小时。
6
ultraFluidX 分析结果后处理
垂直切面的格子分布
水平切面的格子分布
6.1 强制冷却工况,风扇500RPM
垂直切面的瞬态风速
垂直切面的瞬态温度
风扇从环境吸入空气,由于挡板的封闭作用,冷空气先全部穿过换热器1的芯部,流经发动机热表面,从两侧格栅排出一部分热空气,最后再经换热器2和格栅排出。
水平切面的瞬态风速
水平切面的瞬态温度
ultraFluidX求解器输出换热器的性能参数在工作目录的uFX_monitoringSurfaces\uFX_monitoring_surface.txt
换热器1冷却液进出口温差约10℃
换热器2功率约10.8kw
6.2 自然对流工况,风扇静止,发动机表面高温
垂直切面的瞬态风速
垂直切面的瞬态温度
水平切面的瞬态温度
7总结
ultraFluidX 采用 LBM 方法分析动力舱温度场和流场:
- 快速评估换热器性能,精确计算流经换热器的空气流量、温差以及换热效率,例如分析通过增大格栅开口和加装导流罩来增加新风量,从而提升换热器散热效率;
- 评估热气回流现象,防止加热后的空气没有顺利排出机舱,反而再次被吸入冷却模块前端,降低换热效率;
- 识别机舱内对高温敏感或易受热影响的部件(如线束、ECU、电池包等),并预测其在极端工况(如风扇停转)的温度水平,评估是否存在过热风险(热害分析);
- 几何无须简化,快速评估复杂装配体内部的实际流动状态和温度场。在关键区域(如换热器表面、格栅进口、风扇周围)进行非常精细的空间离散,并基于多 GPU 并行加速计算,整体仿真效率优于传统网格法 CFD。
全球100个AI应用案例电子书下载
△Altair 正式发布全球100个AI应用案例电子书,内容覆盖10+行业的100个AI应用场景。点击图片立即获取,了解全球AI驱动工程设计应用成功案例,以及AI技术如何为工业制造业的产品全生命周期带来赋能与革新。
工程师必备
- 项目客服
- 培训客服
- 平台客服
TOP




















