梯度晶体塑性模型对应的umat子程序
文献一:《Gradient plasticity in gradient nano-grained metals》
文献二:《Grain rotations during uniaxial deformation of gradient nano-grained metals using crystal plasticity finite element simulations》
推荐理由:两篇文章使用了类似的研究方法,通过构建具有梯度分布的晶粒模型,基于原始的唯象晶体塑性模型进行修改,将初始屈服,硬化模量,饱和强度,以及率相关系数构造为晶粒尺寸的函数,实现建立具有尺寸效应的多晶本构模型,这对目前金属梯度结构介观尺度下力学性能的表征具有一定的启发性
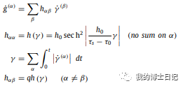
文献一的研究使用Voronoi镶嵌方法构建梯度纳米晶结构,使用的本构模型如下:
流动方程:
硬化方程为:
通过假设:单晶水平上的所有抗滑移参数与局部晶粒尺寸D的平方根成反比
修正对应的参数为:
其中弹性参数对应Cu的参数
有限元模型为:
研究了平面应变条件下简单拉伸不同区域的应力应变分布特征
CPFE结果揭示了GNG-Cu横截面中的梯度应力和梯度塑性应变。这些空间梯度是由于在具有梯度尺寸的晶粒中逐渐达到屈服点以及相应的梯度滑动阻力而产生的。
CPFE结果还揭示了梯度应力和梯度塑性应变的非均匀空间分布,这是随机晶粒取向和梯度晶粒尺寸共同作用的结果。
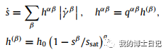
文献二的研究使用同样Voronoi镶嵌方法构建梯度纳米晶结构,使用的本构模型如下:
流动方程:
硬化方程:
修正对应的参数为
边界条件余文献一一致
所不同的是作者关注了晶粒尺寸和初始取向对晶粒变形过程中旋转的影响,作者分析认为,影响晶粒旋转的更重要因素是晶体的初始取向而不是晶粒尺寸的大小
感兴趣的小伙伴可以参考原始文献,对原始的huang本构模型进行修改,实现类似的效果。并分析其他可能的影响,或者使用类似的研究思路,使用更加物理的本构模型如位错密度模型等进行对比研究
进行简单修改两个模型实现类似的效果:
为构造典型梯度结构,使用了随机尺寸的结构
文献一模型效果:
晶粒尺寸分布:
不同晶粒的初始强度分布:
不同晶粒的饱和强度分布:
不同晶粒的变形过程累计剪切分布:
不同晶粒的变形过程应力分布:
另一个模型效果一致,修改方式参考原始文献
以下内容为付费内容,请购买后观看
1人购买
原始文献对用的子程序,包含子程序和Fortran文件,以及参考文献。
工程师必备
- 项目客服
- 培训客服
- 平台客服
TOP




















