技术分享︱基于SAMR网格自适应与AI智能求解技术的高保真流场模拟
2026年3月11日 11:00
引言
在高端装备研发领域,风洞试验被誉为空气动力学的“试金石”。然而,物理风洞建设成本高昂、排期漫长、且受限于物理模型尺寸和雷诺数边界,往往成为制约研发效率的瓶颈。

物理风洞
为了打破这一局限,神工坊®研发团队推出了面向风洞试验的“风神NF3”数字孪生风洞。
通过“几何孪生、物理孪生、数据孪生”的三重构建,“风神NF3”能够为试验提供全息流场信息,辅助试验设计,甚至在物理试验无法触及的“高雷诺数、特殊动作”等边界条件下进行扩展研究。
“风神NF3”数字孪生风洞是神工坊®CAE“基座+应用”生态的里程碑,本文将深度解析其背后的两大核心技术——HSF-SAMR网格自适应与HSF-AI智能求解技术,看它们如何让仿真从“能算”进阶为“智能算”。
01 核心“基座”:“超算+AI”混合数值引擎
“风神NF3”的核心“基座”——SIMFORGE HSF®“超算+AI”混合数值引擎是基于“超算+AI”技术的先进CAE软件基座,支持工程计算应用的快速开发、自动并行,以及多域耦合、AI求解加速等。

SimForge HSF®高性能数值模拟引擎
该引擎的核心技术矩阵包括:
1. HSF-UNAT统一加速库
通过对各类网格拓扑进行统一矩阵化抽象,实现底层数据结构的统一表达,为性能无缝移植、算法并行加速奠定基础。
2. HSF-SAMR结构网格自适应框架
擅长处理动边界与流固耦合问题,兼具自适应网格分辨效率,与局部结构化特征和树形结构带来的计算效率优势。
3. HSF-USTR非结构框架容器
以分布式网格为核心,通过扩展子域、数值计算方程和矩阵等模块,支持复杂边界与多物理场耦合建模;通过统一拓扑接口,提升开发与运行效率。
4. HSF-DSL领域特定语言
针对专业垂直仿真领域设计专用编程语言,提供贴近物理问题描述的语法与接口,显著提升仿真建模与求解器开发的效率与代码可维护性。
5. HSF-AI求解加速模型
采用“机理模型+AI加速”架构,利用深度学习自动提取稀疏矩阵特征,智能选择求解器与调优参数,突破传统算法依赖人工经验、收敛慢的瓶颈,在确保高保真的前提下大幅提升求解效率与自动化水平。
基于该引擎构建的“风神NF3”数字孪生风洞,拥有了区别于传统仿真软件,兼顾效率及精度的极大优势。下文将具体阐述,HSF-SAMR 和 HSF-AI 技术是如何大幅提升“风神NF3”的仿真能效的。
02 HSF-SAMR网格自适应技术
在流体仿真中,网格的质量和规模直接决定了计算的精度和效率。传统的均匀网格往往面临两难:一是网格太粗,捕捉不到激波、尾迹等关键细节;二是网格太细,计算量呈指数级爆炸,算不动。神工坊®技术团队引入了 HSF-SAMR(Structured Adaptive Mesh Refinement,结构网格自适应)技术,有效解决了这一痛点。

HSF-SAMR 技术架构图
2.1 智能捕捉,动态加密
HSF-SAMR 网格自适应技术好比给风洞装上“自动变焦镜头”,使之不再依赖人工预设,而是能根据流场的实时物理变化(如涡量、压力梯度、Q准则等指标),自动识别出激波、分离区、尾迹等关键区域,并对这些区域的网格进行多级动态加密;在流场平缓的区域,则自动稀疏化以节省算力资源。为了实现上述效果,神工坊®技术团队进行了深度架构创新:
- 分块结构化数据管理:采用Block-Structured(分块结构化)网格管理策略,相比非结构网格,极大地降低了内存访问开销,更适合超算的高速缓存架构。
- 动态负载平衡:引入基于希尔伯特曲线的空间填充算法,在网格动态加密/稀疏化过程中,实时将计算负载重新分配到各个计算核心,解决了负载不均问题。
- 异构众核加速:针对神威SW26010处理器的主核+从核架构,重新设计了底层通信机制,通过异步通信隐藏技术,将跨节点的MPI通信与节点内的计算重叠,把硬件性能压榨到极致。

汽车气动仿真流场SAMR网格自适应效果
2.2 亿级规模,高效扩展
基于超算的众核架构优化,实测数据显示HSF-SAMR框架具备极强的并行扩展能力:强扩展加速比(以 10.4 万核为基准)。

28亿网格10.4万核基准强扩展加速比图
注:HSF-SAMR 在问题规模保持不变的条件下,通过提升并行核数,实现从 10.4 万核到 201.5 万核的强扩展性能验证。
依托面向超算众核架构的深度优化,HSF-SAMR 框架展现出强劲的大规模并行扩展能力。以 10.4 万核为基准,在 201.5 万核规模下,实测加速比达到 15.35;在149.5 万核规模下,实测加速比达到 14.58,
并行效率达到101.41%。整体测试结果表明,HSF-SAMR在超大规模并行场景下仍能保持高效计算能力,为高保真复杂流场模拟提供了有力支撑。
将HSF-SAMR 应用于“风神NF3”,NF-3风洞网格加密层级7,总网格数达到30.3亿。在翼型吹风测试中,实现了对测试对象的网格自适应,以及全风洞流场的模拟。

HSF-SAMR 模拟NF-3风洞流场
测试结果显示HSF-SAMR框架清晰解析了风洞内流场多尺度效应。相比实际物理风洞动辄数月的单次试验效率,“风神NF3”有潜力将解决问题时间缩短5倍以上。
03 HSF-AI智能求解技术
现代高保真仿真面临两大瓶颈:一是计算性能——大型稀疏线性方程组的求解动辄耗费总算力的 70% 以上;二是物理机理——传统湍流模型在复杂条件下精度欠佳,黑箱机器学习改进又缺乏物理可信度。HSF‑AI 智能求解技术针对上述痛点,以“物理机理模型+AI求解加速”为路线,实现求解更快的同时保证机理更准。
- 性能加速:借助深度学习自动洞悉矩阵结构,智能挑选优化迭代求解策略,跨量级降低计算开销,但仍由传统算法完成求解,确保数值结果高可信。
- 机理增强:引入符号回归等白箱模型,在湍流闭合方程中嵌入数据驱动的物理修正项,并结合数据同化保持方程约束,显著提升极端工况下的模型准确性,又保证解的稳定收敛。
3.1 基于神经网络的代数求解加速
大型 CFD、声学和多物理场仿真中,迭代线性求解往往占总运行时间的 70%–85%。稀疏矩阵规模巨大的同时,哪种迭代算法配合何种预条件子才能高效收敛,常需资深工程师反复试错。HSF‑AI 针对此瓶颈提出“用 AI 辅助决策,传统算法执行”的混合求解范式——AI 模型负责读懂矩阵并推荐最佳求解策略,实际线性求解仍交给经过验证的数值算法完成。这一思路确保不改动离散方程的求解机理,只是在“选择和调优”环节引入智能,使仿真提速的同时保持数值解的物理可信度。

HSF-AI 技术架构图
3.1.1 矩阵即图:深度提取稀疏结构特征
稀疏矩阵可自然映射为大规模图——自由度对应节点,非零系数对应边,边权描述耦合强度。传统仅依赖矩阵带宽、稀疏度等浅层特征的方法无法充分捕捉复杂结构关联,而图神经网络(GNN)正提供新途径。GNN 可在任意尺寸、任意拓扑的矩阵图上工作,通过灵活的邻域聚合将变长输入映射为固定维度嵌入,从而刻画出矩阵的深层拓扑模式和数值分布。研究表明,与人工提取特征的传统 ML 方法相比,GNN 对矩阵特性的表征更全面,为后续求解策略选择提供了可靠依据。特别是在非结构网格离散下,矩阵图的不规则连接模式正是 GNN 的用武之地——通过消息传递,GNN 能识别出迭代法收敛难点(如特征值分布、强耦合子结构),为智能求解打下基础。
3.1.2 求解策略智能推荐:多标签深度预测
基于对上万计不同来源稀疏矩阵的训练,HSF-AI 的深度学习决策模型学会了如同专家般“对症下药”。其核心是一套多标签分类架构——针对某一矩阵,不止推荐单一算法,而是给出候选最优组合。具体而言,模型输出当前问题适用的“迭代求解器 + 预条件子”最佳搭档列表(例如 GMRES+AMG 或 BiCGStab+ILU),并给出相应超参数建议。多标签策略允许推荐并列的有效方案,保证在不同硬件环境、不同非线性阶段都能有解可用,避免了过于激进的“单一答案”造成的失稳。最新研究表明,这类 GNN 驱动的推荐在大规模矩阵测试库上较传统经验规则将策略正确选中的概率提高了约 25%;神工坊®技术团队关于 HSF-AI 的内部测试同样显示,在复杂工程场景下Hit@3(前三荐中命中最优)准确率达 80% 以上,充分证明其鲁棒性和实用价值。
3.1.3 智能初值与迭代收敛加速
除了求解器与预条件子的选择,AI 还为迭代过程本身提供助力。例如,在非稳态问题的逐步求解中,引入深度神经网络预测的高质量初始值,可显著减小初始残差,进而减少 Krylov 子空间迭代次数。这一想法已由最新混合求解研究所验证:利用训练好的神经算子预估流场解,再接力给传统求解器进行精修,可在各种 PDE 基准测试中减少 2–10 倍迭代步骤,总耗时降低最高达 90%,且不损失收敛性和精度保证。
HSF‑AI 将类似策略融入求解流程:对稳态问题,使用历史收敛解训练的模型预测新的初始场;对非线性迭代,引入AI模型预估的搜索方向或校正项。这些手段相当于为经典算法提供“智能热启动”,让求解器跳过漫长的误差削减前期,直接以更小残差开局,从而大幅加速收敛。值得强调的是,由于仍沿用原有数值算法进行迭代,求解稳定性和结果精度与未引入AI时保持一致,用户无需担心理论可靠性受到影响。
综上,HSF-AI 通过深度学习赋能,使长期依赖经验调校的线性代数求解过程实现了自动化、智能化变革:AI 模型“读懂”了矩阵,替代人工直觉选择并优化了解法,而底层数值求解仍严格遵循物理与数学原理。这种分工协作的范式确保了仿真高精度不变,却在收敛效率上取得质的提升。此外,求解过程对人工干预的依赖度大幅降低,真正实现了“一键运行,即可得解”的智能求解体验。
同时,HSF-AI通过持续积累不同工况下的求解数据,实现模型自我优化与适应。系统不仅记录每一次仿真的参数与结果,还利用反馈机制自动调整推荐策略,从而适应新出现的复杂场景。随着使用次数的增加,模型会不断学习用户实际需求和硬件环境,形成动态进化的决策体系,让智能推荐更加精准、鲁棒,真正做到“因地制宜、与时俱进”。
3.2 符号回归的湍流模型
可靠的湍流封闭模型是飞行器气动模拟的基石。为了实现“数字风洞”在高雷诺数、大攻角失速等物理风洞难以覆盖的极端条件下依然能够给出准确预测,传统经验 RANS 模型(如 SA 、SST )面临巨大挑战。近年来,虽然有不少尝试通过黑箱深度学习增强湍流模型,但普遍存在物理不可解释、对训练数据以外工况泛化能力不足等问题。更为严峻的是,黑箱校正项嵌入 RANS 方程后,往往破坏原有数值稳定性,难以保证迭代收敛。为此,采用高维度物理场(如分辨率超过10亿)的试验与观测数据,结合大规模并行的数据同化手段,实现不同数据源的深度融合,成为提升模型可靠性的重要途径。同时,通过符号回归等白箱方法构建湍流模型,不仅赋予模型良好的物理可解释性,还显著提升了对新工况的泛化能力,从而兼顾了工程实用性与理论严谨性。

3.2.1 “数据同化 + 符号回归”:白箱湍流建模新范式
神工坊®技术团队针对上述难题,在HSF‑AI 模块中研发了DASR湍流模型(Data Assimilation + Symbolic Regression),其理念与国际前沿研究不谋而合。
首先,通过符号回归在海量高可信度(实验或高精度模拟)数据中发掘隐含的物理关系,得到可解释的修正项表达式;然后,通过数据同化技术在线优化这些修正项中的未定参数,使之与RANS方程的计算结果高度一致。这一先离线后在线、模型与求解高度耦合的双阶段方案,保证了改进后的湍流模型既源自数据又服从机理:离线阶段确保修正项有物理意义,在线阶段确保引入修正后的RANS求解仍满足控制方程,不引入非物理不稳定。
与单纯依赖数据训练的黑箱模型相比,DASR 属于“可解释 AI”范畴:其产出的是明确的数学形式(例如附加应力项作为局部流动变量的函数),研发人员可以理解和检视这些新项是否符合物理常识,并据此放心地将其纳入RANS方程求解。这种白箱方式也为模型的二次开发留下空间——工程师可根据经验对符号表达式进行微调优化,而黑箱网络则无从下手。正因此,符号回归湍流建模被视为下一代湍流建模的重要方向,在学术界和工业界获得了广泛关注和认可。

HSF-AI 回归-同化DASR湍流模型
3.2.2 提升大分离流预测精度的实例验证
采用符号回归+DASR策略对经典SST湍流模型进行改进,目前已在多个复杂外形上取得突破性进展。据文献研究,通过野值场反演和符号回归(FISR)优化SST模型,所得新模型(SST-SR)在完全不同于训练工况的分离流测试中依然表现出色,成功预测了二维突扩、周期性台阶和复杂三维 Ahmed 体尾流等复杂分离流场。这表明数据驱动的显式修正确实赋予了传统模型难以企及的跨工况泛化能力。
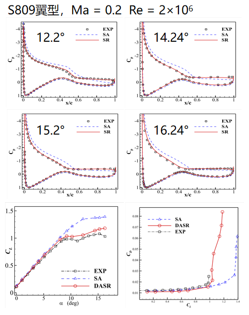
HSF-AI DASR模型在数字风洞验证中表现良好。针对 S809 翼型高攻角失速算例,新模型对失速临界攻角及失速后升力下降趋势的预测较基线模型有明显改进;在多个攻角下的压力系数分布,以及升力、阻力特性上,与实验结果更为吻合。同时,计算过程中未见明显发散或异常振荡,表现出较好的数值稳定性。这些成果与Physics of Fluids 2025 年发表的最新研究结论一致:符号回归+数据同化的白箱湍流模型在高雷次、大分离流中的预测精度显著优于传统RANS模型,且具有很好的稳定性与普适性。

HSF-AI 智能湍流模型验证
04 应用效果
基于HSF-SAMR网格自适应与HSF-AI智能求解为核心的技术深度融合与工程化应用,“风神NF3”数字孪生风洞已在航空航天等高端装备研发的关键场景中得到严格验证,其技术先进性与工程实用性主要体现在仿真精度及求解效率两个方面。
4.1 仿真精度提升
1. 低速增升装置(复杂分离流动)
针对公务机在起降阶段的三个增升装置方案,在低速条件下,采用全机构型进行数值模拟。“风神NF3”的计算结果精准预测了机翼的失速迎角,与风洞试验结果完全吻合,验证了平台在大分离流动区域的预测能力 。 在关键的升阻比特性方面,预测误差仅为1.69%,优于国际主流商用软件。这表明在同等计算条件下,“风神NF3”的计算结果置信度更高,更接近物理试验真值 。
2. 高速全机巡航(激波捕捉)
针对修型小翼、融合小翼、双羽小翼三种不同构型,在高速巡航工况下进行气动特性分析。 计算结果精准捕捉了机翼上翼面的强激波位置。验证表明,当网格量达到3.7千万以上时,“风神NF3”数字孪生风洞计算结果具备极好的收敛性,各项关键气动指标的预测误差均远小于5%的工程考核指标,完全满足型号设计要求。

“风神NF3”精度验证:关键气动指标数字风洞预测误差及评价
4.2 求解效率提升
在保证精度的前提下,“风神NF3”通过HSF-SAMR网格自适应与HSF-AI智能求解技术,显著提升了仿真效率,并降低了研发成本。以增升装置选型为例,与完全依赖物理风洞的传统试验模式相比,“风神NF3”可将研制周期缩短约62.2%,试验成本可降低约65.2% ,在全流程中实现了周期与成本的双重优化。

引入“风神NF3”前后研制周期与成本效益对比
05 结语
“风神NF3”数字孪生风洞不仅是对物理风洞的复刻,更是一次计算范式的革新。它的成功发布,标志着神工坊®在建立自主可控的CAE生态道路上迈出了坚实的一步。未来,神工坊®将继续打磨“基座”,繁荣“应用”,用先进计算的力量,为中国高端装备研发提速。

参考文献:
[1] Petrobras. Spotlight: Petrobras Speeds Up Linear Solvers for Reservoir Simulation Using NVIDIA Grace CPU. NVIDIA Technical Blog, 2024.
[2] Wu, C., & Zhang, Y. Enhancing the shear-stress-transport turbulence model with symbolic regression: A generalizable and interpretable data-driven approach. Phys. Rev. Fluids, 8(8), 084604, 2023.
[3] Tang, Z., Zhang, H., & Chen, J. Graph Neural Networks for Selection of Preconditioners and Krylov Solvers. NeurIPS 2022 Workshop on New Frontiers in Graph Learning.
[4] Eshaghi, M. S., et al. Neural Operator Warm Starts for Accelerating Iterative Solvers. arXiv:2511.02481, 2025.
[5] Liao, H., Sun, X., Liu, Y., & Zhang, W. Data-driven turbulence modeling: A mutually coupled framework for symbolic regression and data assimilation. Physics of Fluids, 37(7), 075211, 2025.
[6] Wu, C., & Zhang, Y. Data-driven Turbulence Modeling Using Field Inversion and Deep Symbolic Regression. ICCFD12, 2024.

工程师必备
- 项目客服
- 培训客服
- 平台客服
TOP




















