[TechwizD和TX液晶显示软件] TechWiz LCD 1D案例:4畴VA显示模式

1. 堆栈结构

堆栈层及层信息

[TechwizD和TX液晶显示软件] TechWiz LCD 1D案例:4畴VA显示模式的图1

2. 建模过程

2.1创建堆栈结构

[TechwizD和TX液晶显示软件] TechWiz LCD 1D案例:4畴VA显示模式的图2

2.2更改参数设置

[TechwizD和TX液晶显示软件] TechWiz LCD 1D案例:4畴VA显示模式的图3

3. 结果分析

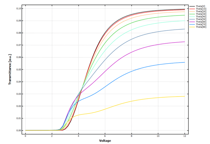
3.1 V-T曲线

[TechwizD和TX液晶显示软件] TechWiz LCD 1D案例:4畴VA显示模式的图4

3.2视角透过率

[TechwizD和TX液晶显示软件] TechWiz LCD 1D案例:4畴VA显示模式的图5

3.3颜色轮廓

[TechwizD和TX液晶显示软件] TechWiz LCD 1D案例:4畴VA显示模式的图6

登录后免费查看全文
立即登录
App下载
技术邻APP
工程师必备
  • 项目客服
  • 培训客服
  • 平台客服

TOP