基于LS-DYNA的PAB气囊建模与对标分析
2017年11月15日 09:54摘 要: 本文介绍了基于LS-DYNA软件下对PAB(乘员安全气囊)的有限元模型建立方法,着重介绍了气囊的建模及计算折叠方法,以及安全气囊布料应力应变曲线和线性冲击的对标步骤。通过仿真和实验数据的对比,验证了LS-DYNA对于气囊建模的准确性,为其他类型的气囊建模提供借鉴。
关键词:LS-DYNA;PAB;气囊折叠;材料对标
Calibration Analysis on PAB by LS-DYNA
Abstract:This paper introduces the method of building a finite element model of PAB (Passenger Airbag) based on LS-DYNA. The modeling and folding method of airbag, the stress-strain curve of airbag fabric and the alignment of linear impact are emphatically introduced.Through the comparison between simulation and experimental data, the accuracy of LS-DYNA for airbag modeling is verified, which provides great convenience for other types of airbag modeling.
Keywords: LS-DYNA; PAB; Airbag folding; Material Calibration
1 前言
汽车安全气囊是一种被动安全保护装置,它对防止司乘人员伤亡,减少伤残有明显效果。实际应用中气囊的安装位置、点火时刻等因素对其作用的发挥至关重要。其中,气囊在展开后的泄气性能对安全气囊的安全保护作用有很大影响,因此,在设计初期,气囊厂商都需要对所使用织物材料的泄气性以及气囊上的开孔的泄气性能进行实验和仿真验证,目前常用的主要有跌落塔法,水平线性冲击法,摆锤法,本文针对水平线性冲击法基于LS-DYNA求解器对PAB气囊进行建模和验证。
LS-DYNA 是国际上著名的通用非线性动力分析程序, 显式隐式结合,在工程界中得到广泛应用。适合求解各种结构的高速碰撞、冲击、爆破、流固耦合、和金属成形等高度非线性瞬态动力学问题。本文应用了LS-DYNA的显式时间积分求解算法。在本文中我们使用的软件版本为ls971 R9.0.1。
2.1 布料模型
首先利用前处理软件建立构成气囊的布料模型。然后按照顺序放置好,为缝纫做准备。参考网格的节点号,单元号要与折叠过程中气囊的节点号,单元号保持统一,因此在进行缝纫之前,需要固定好节点号,单元号,并且备份一份原始布片的网格。然后利用morph功能把各个围片粘贴到一起,初始的布料和morph的结果如图2.1.1所示。

图2.1.1 初始布料及morph模型
2.2Tank实验模型

图2.2.1 Tank有限元模型
使用气体发生器容器试验(TANK TEST)得到的质量流量曲线和温度曲线。通过实验模型建立的有限元模型如图2.2.1所示。实验容器的体积为60L,压力为环境压力1个标准大气压。
3 计算折叠
3.1 撑开及压平
撑开及压平的目的是为了更好地Z折,使用*BOUNDARY_PRESCRIBED_MOTION_RIGID。


![]()
图3.1.1 气囊压平的各个步骤及结果
3.3 Z折
Z折分为两步:左右两侧z折和纵向z折。旋转使用*BOUNDARY_PRESCRIBED_MOTION_RIGID,其设置方法可参考撑开操作。左右两侧的z折可以先进行一侧,再进行另外一侧,接触设置时排除不相关的part即可。
3.4Housing
Housing是将折叠好的气囊装进盒子内,该盒子的最终形状信息即作为*BOUNDARY_PRESCRIBED_FINAL_GEOMETRY的目标值,其初始只要包裹住折叠好的气囊即可,并使用*BOUNDARY_SPC_SET固定气发孔。
3.5 Relaxation
为了使气囊在盒子内最终处于稳定状态,还需要对其进行释放的操作,使布料在盒子中尽量展开,盒子设置为刚体。如图3.5.1所示。

图3.5.1气囊最终状态及截面图
介绍材料的拉伸、剪切、双向拉伸的材料对标及其他参数的设置。材料的拉伸、剪切根据实验得到的力与位移曲线可以根据公式在excel中进行直接转换得到。而双向拉伸没有现成的公式,需要使用优化软件进行逆向优化得到。
4.1材料的拉伸实验对标
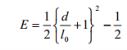
(1)
根据实验获得拉伸实验的力与位移曲线。将力与位移曲线根据式1分别对fill方向和warp方向在excel中计算fill、warp应力应变曲线。卸载与加载所采用的公式一样。其中E为应变、S为应力,d为实验获得的位移曲线,f(d)为对应的实验获得的力的曲线,A0为布料的横截面积(布料的宽度*厚度),l0为布料的初 始长度。
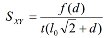
4.2 材料的剪切实验对标
根据实验获得剪切实验的力与位移曲线。将力与位移曲线根据式2进行在excel中获得应力应变曲线。在剪切实验中,应变Exy与应变Eyx值相等。Sxy为应力。d为实验获得的位移曲线,f(d)为对应的实验获得的力的曲线,t为布料的厚度,l0为布料的长度。
(2)
![]()
4.3 材料的双向拉伸实验对标
双向拉伸的材料应力应变可使用优化软件进行逆向求得。限于篇幅,这里不再叙述。
5 线性冲击对标
5.1 总体步骤
气囊的排气,通常有两种类型,分别为开孔排气和气囊的多孔表面泄露。在调试模拟气囊排气的时候首先从无孔气囊开始。对于无孔气囊来说,排气的渠道就是通过气囊的多孔材料表面漏气。对于LS-DYNA模拟,主要是通过调整多孔材料的泄露曲线来调整泄漏量,从而提高模拟的准确性。在LS-DYNA里需要调整*MAT_FABRIC关键字的参数来达到控制泄漏量的目的。
接下来进行的是开孔排气的气囊的调试。我们要使用之前调整好的无孔气囊排气的参数来进行有孔的模拟。这里以排气孔直径为20mm5.5mps的气囊为例。模型中在开孔的位置有一个part,我们需要调整的就是赋予这个part的材料参数来控制泄露量。
在LSPP中测量得到模型中孔的part的面积为330.077mm2。试验中的排气孔直径为20mm,计算得到面积约为314.16mm2,所以为了模拟的准确我们需要通过按比例缩小模型中的孔的尺寸:314.16/330.077=0.95。此处的FLC与FAC的乘积就是这个比例因子的大小,所以这里FLC=0.95;FAC=1。使用调整好的模型进行计算得到的结果与试验相比十分接近,可以得出我们使用的参数是正确的。
5.2对标结果
此次对标共有6种不同的工况,分为无孔气囊和不同尺寸的有孔气囊。经过上述的调整参数后,除了开孔大小的参数不同外,气囊自身其余所有的参数对于6种不同的工况都是相同的。计算完成后,把得到的运算结果和实验结果进行比对,如图5.3.1所示是其中一种工况在加速度,位移,气囊压力三方面的对比。



图5.3.1 某种工况的模拟与实验结果对比
为了验证气囊的泄气性设置参数的正确性,使用CORA软件对得到的结果曲线进行比对。最后得到在6种不同的工况中,CORA最差的评分为0.855,平均评分为0.92。对比结果表明,仿真与实验能很好的吻合。
6 结论
本文基于LS-DYNA求解器,应用Ls-Prepost作为前处理软件,对PAB气囊性冲击模型进行了建模和仿真对标分析。计算结果表明,LS-DYNA求解器具有先进的求解算法和计算稳定性,为气囊的折叠、对标提供了保障。为后续的整车碰撞分析假人的伤害预测提供了可靠的输入。
工程师必备
- 项目客服
- 培训客服
- 平台客服
TOP




















