如何设计真正光滑的曲面,避免流体被不连续绊倒
折转:—阶不连续
最不光滑的就是折线,连接点左右的斜率不相等,在数学上叫做一阶不连续,肉眼就可以看到在此不光滑。
理论上,在折转点处压强无穷小,速度无穷大。
但是自然界并没有出现无穷小的压强和无穷大的速度,只是局部的压强突然下降一些,速度突然增大一些而已。

绕过折线的壁面压力系数cp
流体无法在折转点拐一个半径无限小的弯,用贴近壁面的那些倒霉的流体填平这个折转,为自己铺平道路。
.jpg)
绕过折线的速度分布
在物体表面的附面层,好像涂了一层黏糊糊的黄油,一方面将壁面的速度减小到零,另一方面又将尖锐的折转也给模糊成不那么尖锐的转弯。
如果压强急剧下降,在水下还会发生空化现象,水变为水汽,胖胖的气泡帖在折转处,为流动铺平道路,也可以缓解流动的突然转弯。
速度上升太多,也许局部成为超音速流动,由膨胀波将流动折转,性质又不一样了。
一个尖锐的折转会将流体吓一跳,但是自然界在附面层、空泡、膨胀波等的帮助下,也不会将流体逼到绝路达到无穷小的压强和无穷大的速度。
多圆弧:二阶不连续
请问,一个圆弧与直线相切,在切点位置,足够光滑吗?用手摸摸,没有尖角很光滑,但是在流体看来,这种地方很不光滑。
在圆弧与直线相切的位置会产生一个压强的低点(pressure spike),流体在这里还是被咯噔了一下。如果你是个新手上路,正绕着一个大圈,突然变为直行,你的心里会咯噔一下。流体正拐着弯突然变直道也会咯噔一下。
.jpg)
绕过圆弧的压力系数
.jpg)
绕过圆弧的速度
这种不连续是二阶不连续,就是曲率不连续,两侧的拐弯半径不相等。左边的拐弯半径是圆弧的半径R,右边是直线的拐弯半径为无穷大。任何圆弧与直线相切都无法达到二阶连续。
很多经典的设计,用多个圆弧相切形成曲线。如果相邻两个圆弧的半径相差不多,流体也马马虎虎地认为是光滑的,如果两个圆弧的半径相差很大,流体在切点上会咯噔一下,产生一个压强低点。
为什么要光滑
为什么非要光滑,流体吓一跳还是咯噔一下,有什么问题吗?
复习一下流体最重要的规律:逆压梯度和粘性是导致流动分离的必要条件。
逆压梯度是压强逐步上升,逼迫流体减速慢行。粘性将壁面的流体速度减小到零。
这两件事情同时发生,在贴近壁面的区域本来速度就低,再被逆压梯度压着,从前进变成后退,这个时候我们就说流动分离了。
.jpg)
壁面流动分离
流体被吓一跳,压强迅速下降,这时流动畅通,没有问题。但是过低的压强立即要面对下游的高压环境,遇到很强的逆压梯度。
掉进低压强的坑里不可怕,可怕的是坑太深不容易爬出来,抗不过强逆压梯度。
附面层会在逆压梯度作用下增厚,带来更大的流动阻力。
如果正好处于流体快要转为湍流的敏感范围(雷诺数:10E5~10E6),也许小小地咯噔一下,就将流体从层流吓成了湍流,带来摩擦阻力成倍增大。
在水下,如果低压坑里的压强低于水的饱和蒸气压,水会在这里汽化为水汽,形成气泡,发生自然空化。
.jpg)
壁面压力系数——各种低压的坑
所以亚音速流动,要注意保持壁面曲线二阶连续。避免流体被吓一跳或者咯噔一下,掉进低压的坑里。
如何设计二阶连续的曲线
.jpg)
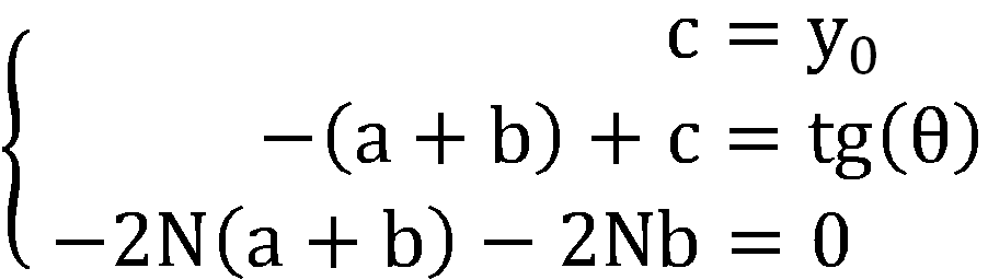
曲线 x=0~1,y=0~y0,主体的倾斜角θ
曲线方程:
边界条件:
.jpg)
(虽然前缘连接的主体,不一定是直线,但是相对于前缘曲线,已经接近直线了,假设二阶导为零,差异并不大。)
用这三个边界条件求解曲线方程的三个参数。
曲线方程:
.jpg)
一阶导
.jpg)
.jpg)
二阶导
.jpg)
.jpg)
带入边界条件,得到参数a、b、c的方程组
.jpg)
求解得到参数a、b、c
→ .jpg)
a、b、c带入曲线方程得到
曲线表达式:
0<N<1,常用N=0.5,N越小,则曲线越胖。
.jpg)
二阶连续曲线的速度分布——绿线
用二阶连续的曲线,压力坑浅多了
低速流动是以胖为美,看那些大鲸鱼,大家可能想,是不是因为太胖所以游得慢?其实是因为游得慢所以长得胖一些减小阻力。
我们胖人是为低速减阻而设计的。
不得不说,流体有一定的承受力,并不要求曲线是数学意义上的光滑,你看流动没有咯噔一下,就足够光滑了。
前缘、拐角这样的地方,最容易被磨损。你精心设计的光滑曲线,也许用不了几天就面目全非。所以这么多年也没有强调精准设计这些部位。
如果可以保持外形基本不变,而且流动比较敏感,不妨使用这个办法做个让流体满意的光滑曲线或曲面。
设计光滑曲线的目的:
避免流体在不连续的位置吓一跳,出现压力深坑,引发流动分离、湍流转捩、局部空化等不受欢迎的现象。
设计光滑曲线的方法:
在连接点保持二阶连续(两侧的曲率半径相等),用坐标连续、一阶连续、二阶连续作为边界条件,即可确定曲线方程的参数。
无论是前缘、后缘、拐角,无论是曲线、曲面,流体要拐弯的时候,就给它铺一条二阶连续的光滑大道吧。
工程师必备
- 项目客服
- 培训客服
- 平台客服
TOP




















