两种刀具铣削淬硬不锈钢的切削力分析
2021年3月2日 15:08采用金属陶瓷刀具和硬质合金刀具铣削淬硬不锈钢时,分析切削过程中的切削力,利用回归分析获得刀具初始切削、同一切削距离和后刀面磨损3种情况下的切削力经验公式,并分析经验公式在刀具磨损情况下参数的变化,为分析刀具磨损后切削参数对切削力的影响提供了参考。
1 序言
不锈钢在工业中应用广泛,随着工业技术的发展,其性能要求越来越高。3Cr13Cu是一种马氏体不锈钢,其化学成分中含碳量高且经热处理后具有很高的硬度,主要用于制造高硬度耐磨弹簧、量具、刀具、医疗器械及餐具等。马氏体不锈钢切削过程中切削力大、切削温度高且刀具磨损严重,是一种典型的难加工材料。
不锈钢的切削加工过程中切削力和锯齿形切屑对刀具寿命和已加工表面质量有很大的影响。对于易形成锯齿形切屑的材料,由于热塑性失稳导致的切屑变形集中、切屑呈节状和应变率强化等因素,速度对切削力的影响不会太明显。高速下切削力随着切削速度的增加会因材料的热软化而呈现下降的趋势。利用经验公式对金属切削加工过程中的切削力进行预测,式中的参数大小和正负代表了不同的物理意义。但考虑刀具磨损的切削力经验公式很少研究,且刀具磨损时切削参数对切削力的影响同样很少在文献中公布。
2 实验设计
实验材料为硬度44HRC的马氏体不锈钢3Cr13Cu,工件尺寸为50mm×70mm×150
mm,热处理工艺为淬火(950~1000℃保温后油中冷却)后经430~480℃回火。实验刀具采用通用方肩面铣刀CoroMill290(R290-100Q32-12L),铣刀盘的直径为100mm,刀片安装后的切削刃角K r为90º,刃倾角12º。选用了2种类型的刀片,分别是金属陶瓷刀具(R290-12T308M-PM530)和硬质合金PVD涂层刀具(R290-12T308M-PM1030,以下称为硬质合金刀)。工件刀具的装夹如图1所示。
图1 工件刀具装夹
加工参数的具体设置见表1,加工过程不使用切削液,每个加工参数使用一个新的刃口,并铣削一个长度150mm工件后测量刀具的磨损。采用Kistler 9253B23测力仪,5070A型电荷放大器及相关的设备采集加工过程中的切削力。
表1 加工参数
3 结果及分析
3.1 切削力分析
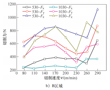
如图2所示为铣削示意,图中A、B所处位置分别为刚切入工件的区域和即将切出工件的区域。对A、B两个区域的切削力进行统计分析。
图2 铣削示意
2种刀具在A、B 2个区域的切削力对比如图3所示。2种刀具的切削力随切削速度的变化规律相似,随切削速度的增加先增加后减少,最后再增加。金属陶瓷刀片在切削速度140m/min时切削力达到一个波峰值,在切削速度为230~260m/min时达到一个波谷值。硬质合金刀片在切削速度170m/min时切削力达到一个波峰值,在切削速度为230~260m/min时达到一个波谷值。经分析,切削速度<140m/min时,切削温度较低,工件材料保持足够的硬度,切削速度增加使得单位时间去除的材料增加,导致切削力增加;切削速度为170~260m/min时,切削速度的增加使得切削温度增加明显,软化工件切削区材料,导致切削力降低;当切削速度>260m/min时,金属陶瓷刀具在高频断续切削过程中,容易产生微裂纹然后扩展成崩刃,造成切削力增大。同样硬质合金刀具在高速切削下因切削区的高温,容易造成刀具磨损,导致切削力增大。
图3 A、B两区域的切削力对比
如图3所示,切削一个工件长度后,在切削速度<140m/min区域,切削力增加相对较少;切削速度为140m/min时,金属陶瓷刀片3个分力平均增加幅度为22%,硬质合金刀片3个分力平均增加幅度为27.5%;切削速度>140m/min后,切削力增加明显,且增大的幅度越来越大;切削速度为290m/min时,金属陶瓷刀片3个分力平均增加幅度为138.7%,硬质合金刀片3个分力平均增加幅度为72.3%。
4 结束语
通过实验及结果分析可知,在切削一个工件长度150mm后,金属陶瓷刀具的切削力较大,原因是断续切削加工时,相同切削距离下金属陶瓷刀具的磨损更加严重。刀具磨损初期,切削速度增加使切削力从整体上减少;刀具磨损后,切削速度增加使切削力从整体上增加。从切削力的角度判定,2种刀具适合在切削速度230m/min左右使用,金属陶瓷刀具不适合在高速断续切削中使用。
本文发表于《金属加工(冷加工)》2021年第2期第67~70页,作者:山西煤矿机械制造股份有限公司 阴磊,原标题:《两种刀具铣削淬硬不锈钢的切削力分析》。
工程师必备
- 项目客服
- 培训客服
- 平台客服
TOP




















