为什么F=ma+w×mv?从圆周运动说起。
2021年4月6日 14:15如果你经常看论文,会发现建模的时候都用的下面的公式,其实建模我们已经很熟悉了,这不就是牛顿-欧拉方程嘛。
等等,牛顿方程怎么变形了?
多出来的
是什么?
关于牛顿方程,还得刚体定轴转动开始说起。
果一个刚体绕固定的轴转动,就像图里显示的一样,我们随便选择一个点M分析,因为刚体上每个点的运动状态是一样的(转动半径不一样),转过的角度为\varphi(弧度),半径为r ,角速度为 w, 角加速度为a_{ang}。
我们先给这些变量做一些定义,什么是角速度呢?
什么是角加速度呢?
我们只是简写成 A=\dot B 这种形式,不要忘了这些定义 )
这个定义和我们直线运动里的速度加速度几乎一样,那我们是不是可以研究一下,角速度,角加速度和速度与加速的关系。
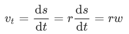
对于圆周运动,走过的路程是一段圆弧s:
(如果转过的角度是2\pi,那走过的弧就是周长C)
我们对速度的定义就是路程对时间求导,所以我们对弧长求导:
原来切向速度v_t可以这么求呀。
那切向加速度呢?
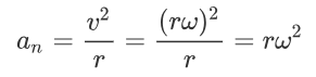
千万别忘了,还有向心加速度。
所以圆周运动与直线行动最不同的地方,直线运动,加速度只需要改变速度的大小。而圆周运动,需要切向加速度(at)改变速度的大小,和向心加速度(an)改变速度的方向。
说这怎么多,到底 \Omega x m V 是什么?
别急别急,你看这个公式里有个叉乘,显然是向量,我们还需要把之前标量分析扩展到向量才会有答案。
定义角速度矢量:
k是转轴z上的单位向量,即向量w的方向是垂直于旋转平面的法向量。
那显然角加速度肯定就跟角速在一个方向呀。
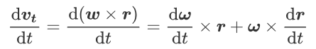
ok,现在我们来看看矢量形式下,速度,加速度,角速度,角角速之间的关系。
先看我们最熟悉的切向速度公式:
这里的 向量r 是矢径 ,即原点O1到质点M的向量,即M点的位置向量,这个向量与转轴z的夹角为\gamma。
为什么角速度叉乘矢径就是速度呢?
其中R为M点的转动半径,可以看出模值确实是vt,那方向呢?
向量w叉乘向量r,根据右手法则,可得他们的方向垂直于w与r组成的平面,所以方向垂直于旋转半径R,与vt速度方向一致。
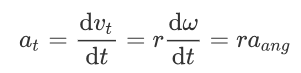
所以我们可以继续得到加速度为:
根据之前的分析已知:
模值为:
同样,方向用右手定则,垂直于a_ang于r组成的平面,即方向为垂直于旋转半径R,即切线方向。
所以:
对位置矢量r求导,得到的是速度向量,即:
同理其模值为:
方向垂直于w与v组成的平面,即指向圆心。
所以:
再来看看最初的牛顿方程:
参考资料:《理论力学》-西北工业大学教研室
ps:感谢同事给的参考资料,我在看论文的时候突然发现这个问题,当时有个思路问题,我觉的这个公式应该是加上了零一个空气动力学里的力,所以把第二项单独分析,结果根本搜索不到答案,如果认定F=ma,把m提出来,剩下的式子作为a去分析,应该能更快找到答案。
ok,我是zing,一个有趣的飞控工程师今天就讲这么多,下期见。
zinghd
一个有趣的飞控算法工程师
个人公众号:无人机干货铺
长按识别二维码关注
原创不易,如果觉得不错可以动动手指,点赞,转发分享给更多的人
工程师必备
- 项目客服
- 培训客服
- 平台客服
TOP




















