西安交大:富氧微孔碳作为超选择性分子筛从稀土元素中回收钍!








































































































































































































































































































































































































































































































































































稀土元素是现代高技术领域众多功能材料所需的关键元素,因此也被誉为“现代化工业维生素”。但是,稀土矿加工过程中的放射性钍污染对当地生态环境产生极大的负面影响。ThIV)具有高度流动性,可以在水和土壤中渗透,并可能最终进入食物链,危及人类健康。这也导致了稀土矿(如独居石)被禁止开采,进而阻碍了稀土行业的可持续发展。与稀土矿物中的其他污染物不同,高纯钍是液态氟化钍反应堆(LFTR)的下一代核燃料,发展LFTR可以减少煤炭和天然气等化石燃料的消耗。因此,从稀土矿中超选择性地提取钍,不但可以解决稀土矿的放射性污染问题还可以为LFTR持续供应核燃料。

由于操作简单、效率高、无乳化现象以及吸附剂的可重复使用,固相萃取在实验和工业规模上都被广泛接受。迄今为止,各种固相吸附剂包括沸石、聚合物、介孔二氧化硅,金属有机框架(MOFs),共价有机框架(COFs)和多孔碳等。此前的研究显示,吸附剂表面的含氧功能基团可以促进ThIV)的吸附。然而,这些含氧基团介导的从稀土矿中提取Th(IV)的吸附的机制尚未得到精确研究。这很难艰巨的任务,尤其是在多孔碳基材料上,因为碳基材料一般含有大量的氧。更复杂的是,当通过化学方法改变碳材料中氧含量变化时,其比表面积和孔隙体积等特性也会相应变化。这种多变量的体系无法很好的研究单一含氧量对吸附的影响。因为比表面积和孔隙体积也在ThIV)吸附过程中的起到关键作用。消除这种不确定性的方法是:找到具有相似比表面积和孔隙率但含氧量不同的碳材料研究含量对ThIV)的吸附选择性和容量的影响。
 
近日,西安交通大学许章炼课题组 筛选出 二醋酸纤维素和微晶纤维素为碳源,通过水热碳化和KOH活化相结合的方法合成了一对具有极其接近的比表面积和孔隙率不同含氧量的同源微孔碳,用于研究含氧量在从稀土矿中提取ThIV)的促进作用。并揭示了富氧活性炭可以在较宽的pH范围对ThIV)具有超选择的原因,为高选择ThIV)吸附剂的设计和合成提供思路。相关成果以“Ultra-selective ion sieve for thorium recovery from rare earth elements using oxygen-rich microporous carbon adsorption”发表在Journal of Hazardous Materials (J. Hazard. Mater. 2021, 417, 126115)。论文的第一作者为博士生高阳阳。通讯作者为西安交通大学特聘研究员许章炼,上海交通大学长聘教轨副教授王寅,西安石油大学讲师吕英。论文得到了先进核能研究所、国家自然科学基金的等相关经费的支持。
 
具体研究内容如下:

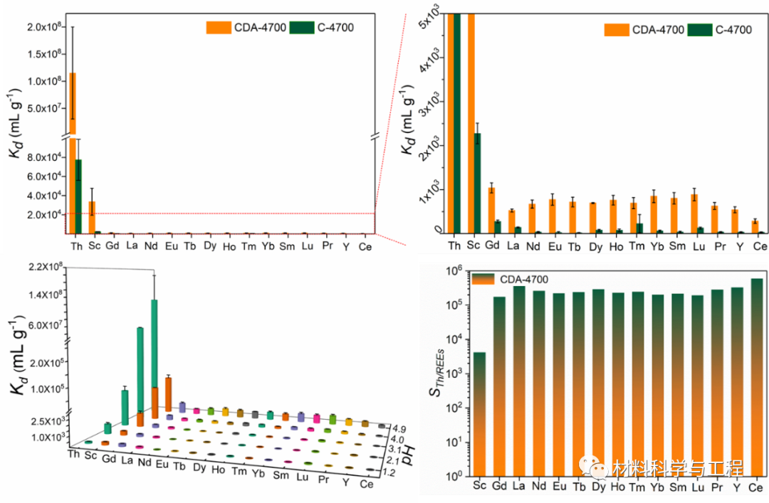
1、选用一对具有极其接近的比表面积和孔隙率但含氧量不同的同源微孔碳材料研究含氧量在从稀土矿中提取ThIV)的促进作用。在含有15种稀土金属元的溶液环境中,富氧微孔碳(CDA-4700)对ThIV)表现出超高的选择性吸附,其分配系数高达1.15×108 mL g-1,是目前选择性吸附钍的分配系数最高值,较对比碳(C-4700,分配系数5×104 mL g-1)提高了四个数量级。

2、该富氧微孔碳可在pH 2.1-4.9范围内的表现出选择性,但其选择性吸附机理并不相同。pH 2.1时,所有离子均未发生水解,稀土离子为+3价,钍为+4价,此时的选择性吸附是基于Th4+的高价态产生的高结合力。当pH 3.1-4.9时,钍离子发生水解产生离子半径更大的ThOH22+ ThOH3+,这使得水解后的钍离子在微孔碳的孔道中的移动要比没有水解的稀土离子慢的多,更容易被含氧基团捕获,所以选择性大大提升。
 

西安交大:富氧微孔碳作为超选择性分子筛从稀土元素中回收钍!的图1

图1. 超选择性钍离子筛的吸附示意图和两种前驱体和所制备的微孔碳的形貌示意图
 

西安交大:富氧微孔碳作为超选择性分子筛从稀土元素中回收钍!的图2

图2.两种微孔碳的比表面积、孔体积、含氧量比较

两种碳前躯体的碳骨架是一致的,产生的微孔碳形貌如图1b-1g非常相似,并具有极其相近的比表面积和相似的孔径分布,但是由于二醋酸纤维素中含量每个单体中含有两个醋酸酯,所以在水热碳化和KOH活化后产生了具有更多含氧功能基团的富氧微孔碳。
 

西安交大:富氧微孔碳作为超选择性分子筛从稀土元素中回收钍!的图3

图3 两种微孔碳对Th(IV)以及其他15种稀土元素的吸附及选择性系数

相比于C-4700,富氧微孔碳CDA-4700表现出优越的Th(IV)吸附选择性。不同pH值下的选择性吸附实验表明,CDA-4700在较宽的pH范围(2.1-4.9)内都表现出了对Th(IV)的选择性吸附。接下来我们对产生这种钍的选择性吸附的原因进行了探究。水溶液中的Th(IV)pH<3时全部以Th4+形式存在,我们猜测在pH=2.1时的吸附选择性是基于离子价态产生的吸附选择性,因为Th+4价,而Ln3++3价,含氧官能团与Th4+的相互作用要强于Ln3+。在混合溶液中加入+4价的Zr4+进行选择性吸附实验,CDA4700同样对Zr4+表现出吸附选择性。这验证了基于价态选择性吸附的正确性。

另一方面,CDA-4700是微孔碳,其孔径主要分布在6-12 nm范围内,而在pH 3-4.9Th4+即可发生水解,生成离子半径较大的Th(OH)22+Th(OH)3+,其他稀土离子仍然为Ln3+,这使得Th(OH)22+Th(OH)3+在通过微孔碳孔道时的运动速度要比Ln3+慢很多,导致其更容易被孔壁内的含功能基团捕捉。虽然在pH 2.1-4.9范围内富氧微孔碳对Th(IV)都表现出了选择性,但是其选择性吸附机理是不同的。整个吸附机理如图4所示。

西安交大:富氧微孔碳作为超选择性分子筛从稀土元素中回收钍!的图4

图4 选择性吸附机理示意图

富氧微孔碳对Th(IV)单独吸附的效果也非常理想,如图5所示,其最大吸附容量达到624.98 mg g-1,吸附在6h达到平衡,符合拟二级动力学吸附模型。不同浓度下的吸附结果显示富氧微孔碳对Th(IV)的吸附符合朗格缪尔等温吸附模型,符合化学吸附的特征。

西安交大:富氧微孔碳作为超选择性分子筛从稀土元素中回收钍!的图5

图5 Th(IV)单离子吸附实验

如图6所示,吸附后的XPS广扫谱中可以观察到非常明显的Th 4f峰,说明ThIV)在富氧微孔碳CDA4700上的成功吸附。而Th 4f的精细谱可以分成三组峰,说明吸附在CDA4700上的ThIV)有三种结合状态,分别为Th-OTh-OOCTh-OH,进一步说明了CDA4700ThIV)的吸附主要是ThIV)与微孔碳表面的含氧官能团的结合。同时STEM模式下的EDS元素分布谱图也显示ThIV)的元素分布与氧分布基本一致,也证明了氧在吸附过程中的重要作用。

西安交大:富氧微孔碳作为超选择性分子筛从稀土元素中回收钍!的图6

图6 吸附Th(IV)后的CDA4700的XPS和STEM 谱图

吸附材料能否循环使用直接决定了材料的经济性。通过三种洗脱剂对吸附在CDA4700上的ThIV)进行脱附实验,结果如图7所示。相比于(NH42C2O4EDTA1M HCl的脱附效果最为理想,其脱附效率接近100%,而且洗脱后的吸附剂吸附效果还有轻微增强趋势,经过7个吸附-脱附循环后,其吸附效率仍可达到90%,说明CDA4700是非常具有实际应用潜力的高性能吸附材料。

因为CDA是烟头的主要成分,我们以烟头为原材料以相同的方法合成了相应碳材料,经过元素表征和吸附实验,发现烟头合成的碳材料同样具有微孔结构和较高的氧含量,在其他15中稀土金属离子存在的条件下,其分配系数为4.98×106 mL g-1,单独钍吸附容量高达602.94 mg g-1,再一次证明了富氧微孔碳材料在稀土的放射治理和放射性核素回收中的应用前景。

西安交大:富氧微孔碳作为超选择性分子筛从稀土元素中回收钍!的图7

7 CDA4700的脱附实验和循环试验

总结:以烟头的主要成分醋酸纤维素为原材料,通过简单的水热合成法和氢氧化钾活化法合成具有超高选择性的ThIV)离子筛。这种富氧微孔碳可以从稀土元素中高选择性的提取ThIV)。这种超高选择性主要来源于材料本身的富氧特性和微孔特性,同时也与ThIV)的水解特性以及Th4+Ln3+的价态差异有关。该研究结果为多孔碳选择性提取Th(IV)过程中含氧功能基团的作用提供了新的见解,并为碳材料作为从稀土矿物或液体氟化钍反应堆乏燃料中提取Th(IV)的筛剂开辟了新的研究方向。

*感谢论文作者团队对本文的大力支持

本文来自微信公众号“材料科学与工程”。欢迎转载请联系,未经许可谢绝转载至其他网站。

推荐阅读:
欢迎微信后台回复“应聘编辑”加入我们

实用!Origin软件使用经典问题集锦

免费下载:18款超实用软件轻松搞科研

合作 投稿 点击此处

西安交大:富氧微孔碳作为超选择性分子筛从稀土元素中回收钍!的图8

欢迎留言,分享观点。点亮在看👇

登录后免费查看全文
立即登录
App下载
技术邻APP
工程师必备
  • 项目客服
  • 培训客服
  • 平台客服

TOP