中科院长春应化所陈学思院士团队:在锡催化作用下外源性羧基和羟基对高分子量聚乳酸热解反应的影响
2021年6月7日 10:28浏览:3109
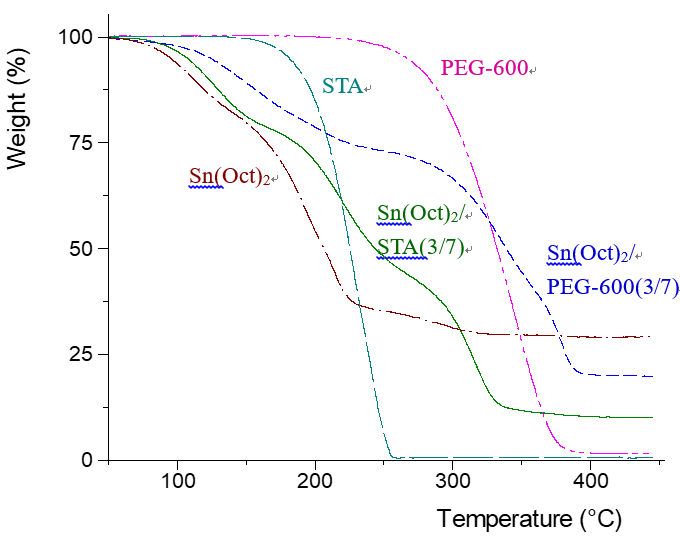
图 2 Sn(Oct)2, STA, PEG-600, Sn(Oct)2/STA(3/7)和Sn(Oct)2/PEG-600(3/7)的热失重曲线(升温速率为10 °C·min-1)
图 4 外源性–OH、–COOH和/或Sn2+作用下PLLA的活化能与转化率的关系
图 6 随机断裂反应模型和实验曲线(ln{-ln[1-(1-w)0.5]}vs. 1/T,w = 0.99–0.85)
论文链接:
http://www.cjps.org./article/doi/10.1007/s10118-021-2557-4?pageType=en
相关进展
免责声明:部分资料来源于网络,转载的目的在于传递更多信息及分享,并不意味着赞同其观点或证实其真实性,也不构成其他建议。仅提供交流平台,不为其版权负责。如涉及侵权,请联系我们及时修改或删除。邮箱:info@polymer.cn
诚邀投稿
欢迎专家学者提供稿件(论文、项目介绍、新技术、学术交流、单位新闻、参会信息、招聘招生等)至info@polymer.cn,并请注明详细联系信息。高分子科技®会及时推送,并同时发布在中国聚合物网上。
欢迎加入微信群 为满足高分子产学研各界同仁的要求,陆续开通了包括高分子专家学者群在内的几十个专项交流群,也包括高分子产业技术、企业家、博士、研究生、媒体期刊会展协会等群,全覆盖高分子产业或领域。目前汇聚了国内外高校科研院所及企业研发中心的上万名顶尖的专家学者、技术人员及企业家。
申请入群,请先加审核微信号PolymerChina(或长按下方二维码),并请一定注明:高分子+姓名+单位+职称(或学位)+领域(或行业),否则不予受理,资格经过审核后入相关专业群。
点
这里“阅读原文”,查看更多
技术邻APP
工程师必备
工程师必备
- 项目客服
- 培训客服
- 平台客服
TOP




















