俄亥俄赵芮可《AM》磁性动态高分子聚合物用于模块化组装和可重构变形架构

【科研摘要】
由软聚合物基质中的磁性粒子组成的形状变形磁性软材料可以可逆、远程和快速地改变形状,在执行器、软机器人和生物医学设备中找到多种应用。为了实现按需和复杂的形状变形,非常需要制造具有复杂几何形状和磁化分布的结构。最近, 佐治亚理工学院 H. Jerry Qi 教授 和俄亥俄州立大学 赵芮可助理教授 团队 报道了一种 磁性动态聚合物 (MDP) 复合材料,该复合材料由动态聚合物网络中的硬磁性微粒组成,具有热响应可逆连接,其功能包括用于磁辅助组装的靶向焊接、磁化重编程和永久结构重构。

俄亥俄赵芮可《AM》磁性动态高分子聚合物用于模块化组装和可重构变形架构的图1

这些功能不仅提供了非常理想的结构和材料可编程性和可重编程性,而且还能够制造功能性软结构材料,例如具有复杂磁化分布的 3D 剪纸。磁辅助模块化组件的焊接可以进一步与磁化重编程和永久重塑能力相结合,以实现可编程和可重配置的架构和变形结构。 预计报告的 MDP 将为未来多功能组件和可重新配置的变形架构和设备的设计和制造提供新的范例。 相关论文以题为 Magnetic Dynamic Polymers for Modular Assembling and Reconfigurable Morphing Architectures 发表在《 Advanced Materials 》上。

【主图导读】

俄亥俄赵芮可《AM》磁性动态高分子聚合物用于模块化组装和可重构变形架构的图2

图1 磁性动态聚合物( MDP)的工作机理和功能示意图。 a) MDP 组成的示意图。NdFeB 微粒嵌入具有可逆化学键的动态聚合物 (DP) 中。b)基于DA反应的DP在不同温度下通过网络拓扑转变的可逆弹塑性转变方案。用于网络排列的游离呋喃和 DA 加合物键之间的键交换反应在温和温度 (TBER) 下占主导地位,并且在升高的温度 (TrDA) 下有利于可逆键断裂。c) 在接近 TBER 的温度下 MDP 模块的模块化焊接示意图。d) 在 TrDA 的磁场下通过键裂解和粒子旋转进行磁化重编程的示意图。e) 通过 TBER 应力松弛的塑性磁导永久结构重构 MDP 的示意图。
俄亥俄赵芮可《AM》磁性动态高分子聚合物用于模块化组装和可重构变形架构的图3
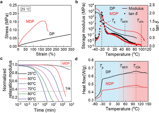
图2 DP 和 MDP 的机械和热机械特性。 a) DP 和 MDP 的拉伸应力-应变曲线。b) DP 和 MDP 从 -40 到 120 °C 的 DMA 加热曲线,具有显着的特征玻璃化转变温度 (T g )、键交换反应温度 (TBER) 和 rDA 反应温度 (TrDA)。c) 在不同温度下 MDP 的应力松弛测试中,归一化松弛模量随时间的变化。d) DP 和 MDP 从 -60 到 150 °C 的 DSC 加热曲线,具有显着的特征温度。
俄亥俄赵芮可《AM》磁性动态高分子聚合物用于模块化组装和可重构变形架构的图4
图3 磁辅助模块化组装,无缝焊接 a) 由三个 MDP 模块组成的长条组件的图像,通过磁引力和红外 (IR) 光加热(80°C 持续 5 分钟)。b) 在不同条件下加工的原始样品和焊接 MDP 样品的拉伸应力-应变曲线。c) 加工条件对加工后的 MDP 焊接效率的影响。d)方形单向磁化模块和具有五个双单元组合逻辑的双向磁化模块通过磁引力的示意图。e-h) 各种组装 2D 平面结构的示意图设计、有限元分析和实验结果,具有用于复杂形状变形的程序磁化:扭曲条 (e)、“Z”形结构 (f)、“H” ”形结构(g )和方形环结构( h)。
俄亥俄赵芮可《AM》磁性动态高分子聚合物用于模块化组装和可重构变形架构的图5
图4 MDP中磁化的原位重编程。 a)在磁场下使用红外光源和光掩模对硅胶封装的 MDP 阵列进行磁化重编程的示意图。磁性粒子可以通过 T rDA 处的外部磁场重新排列。b) 制造的 4 × 4 MDP 阵列、铝光掩模和暴露于 IR 照明后的温度分布的图像。c) 在 35 mT 磁场下,在110 °C 左右,MDP 中 NdFeB 颗粒原位重新排列的显微镜快照。d)沿外部磁场方向从初始各向同性分散到链状结构的多次磁化重编程循环。e,f) 具有初始磁化强度 (e) 和重新编程磁化强度 (f) 的 MDP 阵 列的设计、模拟和实验结果。
俄亥俄赵芮可《AM》磁性动态高分子聚合物用于模块化组装和可重构变形架构的图6
图5 MDP 的磁辅助永久 3D 结构重构,用于制造复杂的多稳态架构。 a) 原理图设计和带有螺旋切口的制造平面剪纸(螺旋设计)。黑色箭头粗略地表示磁化。b) 平面螺旋结构的磁致动。c) 红外辐射下磁驱动螺旋结构的应力释放过程。d) 重塑双稳态螺旋结构的机械或磁驱动。e,f)拉伸试验中螺旋设计的力/旋转角-位移曲线和快照:初始平面结构(e)和重塑的 3D 结构(f)。g) 原理图设计和具有同心圆弧切割的平面剪纸(同心圆弧设计)。h) 平面同心圆弧结构的磁驱动。i) 红外辐射下磁驱动同心圆弧结构的应力 释放过程。 j) 具有四个稳定状态的多稳态 3D 剪纸架构的图像。k,l) 拉伸试验中同心圆弧设计的力-位移曲线和快照:初始平面结构 (k) 和重塑的 3D 结构 (l)。
俄亥俄赵芮可《AM》磁性动态高分子聚合物用于模块化组装和可重构变形架构的图7
图6 MDP 模块的磁驱动远程导航和组装,具有可重新编程驱动和可重新配置架构的组合功能。 a) MDP模块的磁驱动远程导航和组装机制。b,c) 条形 (b) 和十字形 (c) 的 MDP 模块的组装逻辑。d) 磁化重编程和重塑。e) (b) 中条带结构的组装。f,g) 有限元分析 (f) 和 (b) 中组装条带结构的动态爬行运动 (g) 的实验演示。h) (c) 中交叉结构的组装。i,j) 有限元分析 (i) 和 (c) 中组装的交叉结构的动态旋转运动 (j) 的实验演示。k,l) 有限元分析 (k) 和交叉结构动态运动 (l) 的实验演示,在 (d) 中具有重新编程的磁化强度,用于在顺时针旋转磁场下转移球体的封装和滚动运动。m) 重新编程和重塑后交叉结构的永久结构重构。

【总结】
该团队报告了一种 MDP 复合材料,用于创建具有复杂几何形状和磁化分布的结构,用于模块化组装和可重构形状变形架构。 DP 网络重排和磁偶极重排是通过温度场和磁场的协同控制来调整的。展示了功能特性和应用,包括具有目标功能驱动的模块化组件的无缝焊接、可重构驱动模式的磁化重编程以及具有异常特性的远程控制结构重构。 通过合并共价自适应网络聚合物和磁性材料的 MDP 概念可以扩展到不同的 MSM,使用各种刺激响应动态反应和众多磁性材料,具有可调的机械、流变和磁性特性。由于共价自适应网络聚合物能够在制造过程中实现材料焊接和 结构重构、服务过程中的修复以及服务结束时的回收利用的独特性能, 它们为 MSM 提供了一种绿色材料矩阵,具有增强的多功能性,超越了可重构的形状变形。 团队 设想 MDP 及其衍生功能为下一代多功能组件、可重新配置的形状变形架构和设备提供了巨大的潜力。

参考文献
doi.org/10.1002/adma.202102113

版权声明 :「 高分子材料科学 」旨在分享学习交流高分子聚合物材料学等领域的研究进展。上述仅代表作者个人观点。商业转载,投稿,荐稿或合作请后台联系编辑。感谢各位关注!
登录后免费查看全文
立即登录
App下载
技术邻APP
工程师必备
  • 项目客服
  • 培训客服
  • 平台客服

TOP

1
1