一文说清串级、比值等六种复杂控制系统
2021年6月22日 14:31浏览:4386
摘要
控制系统一般又可分为简单控制系统和复杂控制系统两大类,所谓复杂,是相对于简单而言的。凡是多参数,具有两个以上变送器、两个以上调节器或两个以上调节阀组成多回路的自动控制系统,称之为复杂控制系统。
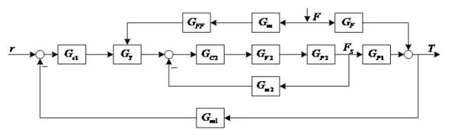
1串级控制系统
-
主调节器(主控制器):根据主参数与给定值的偏差而动作,其输出作为副调节器的给定值的调节器。 -
副调节器(副控制器):其给定值由主调节器的输出决定,并根据副参数与给定值(即主调节器输出)的偏差动作。 -
主回路(外回路):断开副调节器的反馈回路后的整个外回路。 -
副回路(内回路):由副参数、副调节器及所包括的一部分对象所组成的闭合回路(随动回路) -
主对象(惰性区):主参数所处的那一部分工艺设备,它的输入信号为副变量,输出信号为主参数(主变量)。 -
副对象(导前区):副参数所处的那一部分工艺设备,它的输入信号为调节量,其输出信号为副参数(副变量)。
-
对进入副回路的扰动具有较迅速、较强的克服能力; -
可以改善对象特性,提高工作效率; -
可消除调节阀等非线性特性的影响; -
串级控制系统具有一定的自适应能力
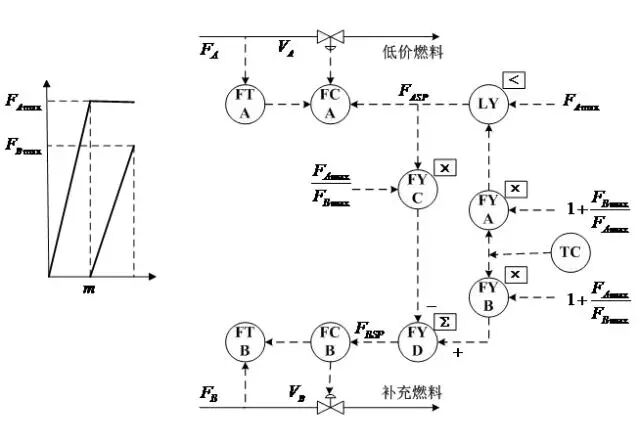
2比值控制系统
-
比值函数环节不管是位于从动量控制回路外部还是内部,由于乘法器的增益是固定比值,因此,仪表比值系数与从动量控制回路中负荷的变化无关。 -
采用常规仪表实施相乘控制方案时,应根据仪表比值系数K的大小确定比值函数环节在控制回路中的位置。采用DCS或计算机控制系统实施时,可直接根据工艺比值系数k,将比值函数环节置于从动量控制回路外,使调整k时不影响控制回路稳定性。 -
采用相乘控制方案不能直接获得实际的流量比值
-
采用常规仪表实施相除控制方案时,应根据仪表比值系数K的大小确定被除数信号和除数信号的位置。采用DCS或计算机控制系统实施时,可直接根据工艺比值系数k,将该比值作为比值控制器的设定。 -
采用相除控制方案能直接从比值控制器的测量值获得实际流量的比值。 -
不管仪表比值系数的大小,比值函数环节输出作为比值控制器的测量,因此,仪表比值系数与从动量控制回路中负荷的变化有关,呈现非线性关系。
3选择性控制系统
-
选择器位于两个控制器和一个执行器之间 -
选择器位于几个检测变送环节与控制器之间 -
利用选择器实现非线性控制
4前馈控制系统
-
单纯前馈控制系统 -
前馈反馈信号相加的前馈—反馈控制系统 -
前馈反馈信号相乘的前馈—反馈控制系统
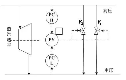
5分程控制系统
6三冲量控制系统
来源:网络
由化工707编辑整理
必备收藏!盛虹炼化装置流程图
三种不同密封形式泵的安全性比较
常听人说“工艺包”,那它究竟包括哪些内容?
304,304H和304L三者有什么区别?
动画解析 | 新西兰最大的水处理厂是如何运行的
技术邻APP
工程师必备
工程师必备
- 项目客服
- 培训客服
- 平台客服
TOP




















