【论文介绍】一种细化AZ31镁合金的固液两相区复合挤压工艺
2021年6月24日 11:25镁合金因密排六方的晶体结构特点,室温成形性差。细化晶粒是一种可以提高金属构件强度的同时,又能有效改善塑性和韧性的方法。等通道转角挤压能在几乎不改变试样截面尺寸和形状的情况下实现材料的组织细化和性能提升,具有工艺流程短,耗能少等优点。针对以上情况,基于“缩短流程,工艺耦合”的想法,将传统等通道转角工艺与半固态成形技术相结合,设计开发出一套新型半固态挤压剪切复合成形工艺,从而达到高效,经济的制备组织细小均匀镁合金的目的。
提出全新的半固态挤压剪切复合成形工艺,获得了晶粒细化、织构弱化、组织均匀化的AZ31镁合金挤压组织,为探究镁合金材料的加工工艺和改善相应组织性能提供了新思路。
通过有限元数值模拟及实验研究,制定了合理的工艺参数和成形方案,并探究了半固态复合成形工艺挤压过程的组织演变规律。
固液两相区复合成形的试验流程图见图1。在700 ℃下融化AZ31镁合金,同时加热模具至350 ℃并保温;将融化的AZ31镁液倒入在液压机上组装好并保温的模具中,等待适当时间后进行挤压。上述整个过程都用热电偶和温度巡检仪测温,挤压速度为50 mm/s。共进行了一次不加转角和两个不同转角的固液两相区复合挤压实验。
值得注意的是,变形区从上至下的基面极图的极值强度先略微上升,到变形区出口时又迅速下降。结合不同部位的再结晶分布图来分析固液两相区挤压过程的组织演变及织构弱化原因。图3为图2各部位所对应的再结晶分布图,图中蓝色表示再结晶区域,红色表示变形区域,黄色表示亚结构区域。传统挤压在挤压过程中的变形是由滑移和孪晶协调进行的,变形过程中的狭长大晶粒大部分为变形区,小晶粒全部为再结晶小晶粒,并在变形阶段出现明显的孪晶结构。而固液两相区挤压过程明显不同,熔体在(560±10) ℃时开始挤出,此时熔体为固液混合状态,靠近模具壁的位置固相率更高,为初生的α-Mg枝晶;进入变形区之后凝固过程中的结晶潜热和变形过程中的剪切效应导致α-Mg枝晶臂断裂和熔合,破碎枝晶周围形成了元素富集,可以促进形核;而剩余的液相部分凝固后形成了粗大的晶粒,储存的残余应力较少。
此外,压力的加入会改变金属的平衡凝固温度,使镁铝合金的过冷度增大,加快凝固过程,同时,由于剩余液相形成均匀的温度场和浓度场,剩余液相处于整体过冷状态,在快速冷却条件下,容易发生爆炸形核,在剩余的液相中,短时间内形成大量的晶核。晶核迅速长大,变得不稳定,形成初生枝晶。但由于残余液相中晶核密度较高,相邻晶核生长界面前沿的温度场和浓度场相互重叠,限制了晶粒的进一步生长。最后,在残余液相中得到细小均匀的等轴α-Mg枝晶。因此在图2(a)~(d)中的大部分狭长晶粒为黄色,也有部分小晶粒不属于再结晶晶粒。图2(d)虽然是心部组织,但小晶粒的占比也很高。
在临近变形区出口时,凝固已完成,在后续的挤压过程中发生动态再结晶,进一步细化晶粒的同时,再结晶也有效的弱化了织构,因此产生了织构先增强后减弱的现象。且最终组织中含有大量的红色变形区域(图3(e),(f))。
图2 固液两相区挤压变形区不同部位EBSD数据
(a)~(c)a1; (d)~(f)a2; (g)~(i)b1; (j)~(l)b2; (m)~(o)c1; (p)~(r):c2
图3变形区再结晶分布图
(a)part-a1;(b)part-a2;(c)part-b1;(d)part-b2;(e)part-c1;;(f)part-c2
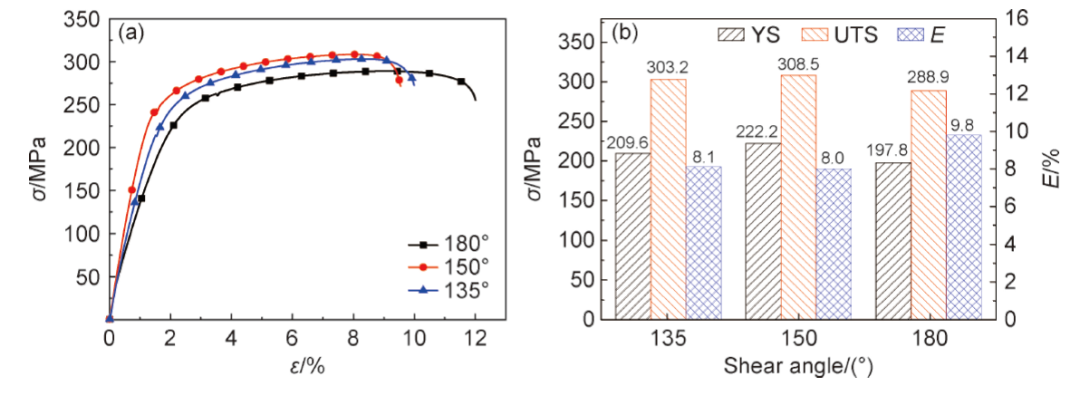
对不同角度下所得棒材沿挤压方向进行室温拉伸实验,结果见图4。直挤压的屈服强度和抗拉强度较低,分别为198 MPa和289 MPa,伸长率为9.8%。剪切角的加入引入更多的变形量,晶粒内部的位错更多并且晶格畸变加剧,对再结晶新晶粒的形成起到了促进作用,有效细化晶粒;根据Hall-Petch公式可知材料的强度随着晶粒尺寸的减小提高。在热加工过程中,在晶粒内同时进行着加工硬化与回复再结晶软化两个相反的过程,有转角的样品应变量更大,加工硬化更加明显且无法完全释放,导致材料强度上升,同时加工硬化也会导致材料塑性下降。此外,复合工艺挤压织构的强度虽然弱,但沿挤压方向拉伸时仍为硬取向,不利于滑移系的开动。因此加入剪切角后强度提高而塑性下降;150°下的屈服强度和抗拉强度提高到222 MPa和309 MPa;135°下的屈服强度和抗拉强度提高到209 MPa和303 MPa;且两个的伸长率都为8%左右。综合来看,剪切角为150°时的综合力学性能最优。
转角样品变形量大,加工硬化更加明显且无法完全释放,导致材料强度上升,同时加工硬化也会导致材料塑性下降。因此,虽然组织细化,但加工硬化限制了塑性的进一步提升。
图4 室温拉伸性能
(a)室温拉伸曲线;(b)室温拉伸数据
原文出处:
一种细化AZ31镁合金的固液两相区复合挤压工艺(点击“题目”可链接全文)
冯靖凯,张丁非,陈霞,赵阳,蒋斌,潘复生
2021, 49 (4): 78-88.
DOI:10.11868/j.issn.1001-4381.2020.000617
【论文介绍】SA508Gr.4N钢热变形过程微观组织演变及流变应力模型
【论文介绍】不同锰含量纳米MnO2-Fe2O3-CeO2/Al2O3的制备、表征 及其催化还原NO/NO2性能
【论文介绍】蒙脱土/Fe3O4/腐殖酸复合材料对U(Ⅵ)的作用机制
工程师必备
- 项目客服
- 培训客服
- 平台客服
TOP




















