科技前沿 | 材料动态力学测试——霍普金森杆实验
2021年6月29日 08:29在航空、航天、汽车、运输、包装及其它军事和民用领域中,工程材料可能会遇到像高速碰撞、爆炸这样的冲击加载情况,了解材料在冲击加载下的力学响应,有助于各类材料的工程应用和工程设计。
对于材料来说,其在动载下的力学性能和在静载下的力学性能是不同的。与准静态实验相比,进行高应变率下的动态实验,依然是一个不小的挑战。霍普金森拉伸实验,对于有效并精确地获取材料的应变率相关的应力-应变曲线,是非常好的动态实验方式。
霍普金森杆(Hopkinson bar)是1993年公布的力学名词。
是一种用于力学、工程与技术科学基础学科、材料科学、机械工程领域的物理性能测试仪器。
01
动载下材料力学相应测试需求
大家都知道,常规静态拉伸,研究的是处于静力平衡状态下的材料,以忽略材料的惯性作用为前提。爆炸/冲击载荷以载荷作用的短历时为其特征,在这种条件下,材料处于随时间迅速变化着的动态过程。
霍普金森杆拉伸实验,可测得材料在高应变率(102-104/s)下的应力-应变曲线。强冲击载荷所具有的在短暂时间尺度上发生载荷显著变化,同时也意味着高加载率或高应变率,所测得的可变形材料的应力-应变曲线,是研究该材料试件动态力学特性的重点。
02
霍普金森杆测试原理
该研究采用霍普金森杆装置,用于材料动态力学性能的测试,应变率范围102-104s-1。基本原理为:当qinag膛中的打击杆(zidan)以一定速度弹入输入杆时,在输入杆中产生一个入射脉冲,应力波通过弹性输入杆到达试件,试件在应力脉冲作用下产生高速变形。
应力波通过试件同时产生反射脉冲,进入弹性输入杆和投射脉冲进入输出杆。测速器可以获得zidan的打击速度,粘贴在弹性杆上的应变片,记录应变脉冲计算材料的动态应力、应变参数。
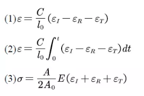
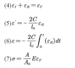
根据粘贴在压杆上的电阻应变片测得的入射波、反射波、透射波,以及一维应力波理论可得到如下的计算公式。 试样的平均应变率为:(1) 试样中的平均应变:(2) 试样中的平均应力: (3)
式中,I、R和T分别表示测试记录的入射、反射和透射波,是弹性纵波波速,为试样的原始长度,为压杆的弹性模量,为压杆与试样的截面积之比。 由应力平衡条件导出: (4) ;将式(4)代入(1)、(2)、(3)式可得 (5) (6) (7)
所以, 在应力平衡的条件下可采用式(5)、(6)、(7)来计算材料的动态压缩的力学行为。
03
霍普金森杆的应用
霍普金森压杆实验主要用于研究材料在冲击荷载下的应力-应变关系和破坏机理,包括:
岩石、混凝土、陶瓷材料试验;
塑料、复合材料、泡沫材料、减震材料等材料试验;
高聚物、炸药、固体推动剂材料试验等。
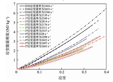
应用:采用霍普金森杆可获得纳米增强泡沫材料在不同冲击速度下的吸能能力,如下图所示。
04
动态荷载下应力-应变关系
静态荷载下,材料应力σ=应变ε·杨氏模量E。
而在动态荷载下,材料力学性能会与加载率(应变率)显著相关。高幅值短持续时间脉冲荷载所引起的材料力学性质的应变率效应,对于抗动载的结构设计与分析是非常重要的。这些动载来自常规武器爆炸、偶然爆炸和高速撞击等许多军事和民事事件。
当驱动撞击杆撞击入射杆时,通过采集入射杆和透射杆的应变脉冲-时间波形,就可得到作用于试件的冲击荷载。而改变撞击速度就可以改变作用于试件的冲击荷载和试件的应变率。通过多次测试,就能得到试样在不同应变率下表现出的不一样的应力-应变关系。下图是铝在一个测试结果,在较高的应变率下,试件发生了较大的变形。
05
实验总结
数值模拟,已在工程设计中发挥着重要作用,而进行数值模拟的前提,是要建立一个材料在各种应变率下的精确应力-应变曲线。
利用霍普金森杆拉伸实验,该研究所成功采集到了材料试件在动态荷载下的应力-应变曲线,有助于材料的数值模拟,助力材料的工程应用和工程设计。
工程师必备
- 项目客服
- 培训客服
- 平台客服
TOP




















