【专业知识】谈一谈气缸选型
2021年7月1日 13:24专注于机械行业、专业、职业信息分享
服务于制造业百万工程师
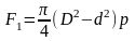
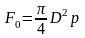
气缸的理论输出力
普通双作用气缸的理论推力(N)为:
式中,D一缸径(mm),p一气缸的工作压力(MPa)。
理论拉力(N)为:
式中,d一活塞杆直径(mm)时,估算时可令d=0.3D。
气缸的负载率
气缸的负载率:是指气缸的实际负载力F与理论输出力F0之比。
负载力是选择气缸的重要因素。负载情况不同,作用在活塞轴上的实际负载力也不同。
气缸的实际负载是由工况所决定的,若确定了负载率η也就能确定气缸的理论出力,负载率η的选取与气缸的负载性能及气缸的运动速度有关(见下表)
负载的运动状态 |
静负载 如夹紧、 低速压铆 |
动载荷 |
||
气缸速度 <100mm/s |
气缸速度 100~500mm/s |
气缸速度 >500mm/s |
||
负载率η |
≤80% |
≤65% |
≤50% |
≤30% |
普通气缸的计算举例
其中P1——气缸推力,P2——气缸拉力
其它方面的选择
1、类型的选择
根据工作要求和条件,正确选择气缸的类型。要求气缸到达行程终端无冲击现象和撞击噪声应选择缓冲气缸;要求重量轻,应选轻型缸;要求安装空间窄且行程短,可选薄型缸;有横向负载,可选带导杆气缸;要求制动精度高,应选锁紧气缸;不允许活塞杆旋转,可选具有杆不回转功能气缸;高温环境下需选用耐热缸;在有腐蚀环境下,需选用耐腐蚀气缸。在有灰尘等恶劣环境下,需要活塞杆伸出端安装防尘罩。要求无污染时需要选用无给油或无油润滑气缸等。
2、安装形式
根据安装位置、使用目的等因素决定。在一般情况下,采用固定式气缸。在需要随工作机构连续回转时(如车床、磨床等),应选用回转气缸。在要求活塞杆除直线运动外,还需作圆弧摆动时,则选用轴销式气缸。有特殊要求时,应选择相应的特殊气缸。
3、作用力的大小
即缸径的选择。根据负载力的大小来确定气缸输出的推力和拉力。一般均按外载荷理论平衡条件所需气缸作用力,根据不同速度选择不同的负载率,使气缸输出力稍有余量。缸径过小,输出力不够,但缸径过大,使设备笨重,成本提高,又增加耗气量,浪费能源。在夹具设计时,应尽量采用扩力机构,以减小气缸的外形尺寸。
4、活塞行程
与使用的场合和机构的行程有关,但一般不选满行程,防止活塞和缸盖相碰。如用于夹紧机构等,应按计算所需的行程增加10~20㎜的余量。
5、活塞的运动速度
主要取决于气缸输入压缩空气流量、气缸进排气口大小及导管内径的大小。要求高速运动应取大值。气缸运动速度一般为50~800㎜/s。对高速运动气缸,应选择大内径的进气管道;对于负载有变化的情况,为了得到缓慢而平稳的运动速度,可选用带节流装置或气—液阻尼缸,则较易实现速度控制。选用节流阀控制气缸速度需注意:水平安装的气缸推动负载时,推荐用排气节流调速;垂直安装的气缸举升负载时,推荐用进气节流调速;要求行程末端运动平稳避免冲击时,应选用带缓冲装置的气缸。
气缸的选型步骤
免责声明:本文系网络转载,版权归原作者所有。如涉及版权,请联系删除!文中内容仅代表作者个人观点,转载不同于本平台认同或者持有相同观点。
加微信:15311423147
申请加入机械工程师微信群!
工程师必备
- 项目客服
- 培训客服
- 平台客服
TOP




















